午夜免费福利,午夜成人小视频,成人午夜免费视频,午夜成人APP在线观看

logo nu Map
网站首页公司简介产品展示企业动态产品报价技术文章在线留言联系午夜免费福利
江苏午夜成人APP在线观看仪表有限公司
导航菜单
流量计系列
· 智能电磁流量计
· 插入式电磁流量计
· 分体式电磁流量计
· 卫生型电磁流量计
· 阿牛巴流量计
· V锥流量计
· 午夜成人小视频
· 旋进旋涡流量计
· 成人午夜免费视频
· 涡轮流量计
· 转子流量计
· 椭圆齿轮流量计
· 平衡流量计
· 弯管流量计
· 楔形流量计
· 靶式流量计
· 节流装置
· 热式气体质量流量计
· 一体化成人午夜免费视频
· 午夜免费福利
· 气体涡轮流量计
· 金属管浮子流量计
· 温压补偿午夜成人小视频
· 一体化威力巴流量计
· 蒸汽流量计
· 阀门组
温度仪表系列
· 热电阻
· 热电偶
· 温度变送器
· 双金属温度计
压力仪表系列
· 压力变送器
· 差压变送器
· 压力真空表
· 精密压力表
· 膜盒压力表
· 隔膜压力表
· 耐震压力表
· 不锈钢压力表
· 电接点压力表
校验仪表系列
· 校验仿真仪
· 多功能校验仪
· 精密数字压力计
· 全自动校验装置
· 智能压力校验仪
· 手(电,自)动气压源
· 手(电,自)动液压源
液位仪表系列
· 密度计
· 液位变送器
· 锅炉液位计
· 磁翻板液位计
· 超声波液位计
显示,记录仪表系列
· 智能巡检仪
· 智能调节仪
· 无(有)纸记录仪
· 安全栅、隔离器
料位开关/料位计
· 料位计
· 料位开关
mulu
搜索 请输入关键字
联系午夜免费福利
江苏午夜成人APP在线观看仪表有限公司
    址:江苏省金湖工业园区
    编:211600
    话:0517-86500336      
                        86500226
    真:0517-86800636
联系人:杨经      
手机:13915187193(微信同号)
E-mail:jshdyb@163.com
 
 首页>>产品展示>>流量计系列>>阿牛巴流量计
产品展示  

阿牛巴流量计

阿牛巴流量计
 点击放大
产品型号:
HD-LGA
产品报价:
询价
产品特点:
当流体流过探头时,在其前部产生一个高压分布区,高压分布区的压力略高于管道的静压。根据伯努利方程原理,流体流过探头时速度加快,在探头后部产生一个低压分布区,低压分布区的压力略低于管道的静压
  HD-LGA阿牛巴流量计的详细资料:

  HD-LGA均速管亦称阿牛巴、笛管。均速管是在皮托管测速原理的基础上发展而来的,由于压损小、制造成本低、安装维护方便,各国都有广泛适用。 
 
  均速管的测量原理是将整个圆截面分成多个单元面积相等的圆环(中间为圆)。均速管的检测杆是一根中空的金属管。
 
阿牛巴流量计适用范围  
  1、公称直径:25mm≤DN≤6000mm
  2、公称压力:PN≤25MPa
  3、介质温度:t≤650
  4、精度等级:1级,1.5级,2.5
 
阿牛巴流量计结构形式
  均速管是检测杆、取压口和导杆组成,它横穿管道内部与管轴垂直,在检测杆迎流面上设有多个总压检测孔,分别由总压导压管和静压导压管引出,根据总压与静压的差压值,计算流经管道流量。检测杆的截面形状见下图:
阿牛巴流量计理论基础
  均速管流量计是基于皮托管测速原理上发展起来的,它是通过管道的平均流速及管道的有效截面积的乘积来确定流量的。
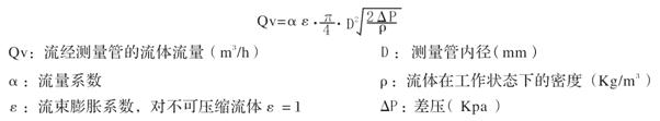
  它的流量计算公式为:
阿牛巴流量计的几种安装方式
 

 
阿牛巴流量计安装要求
1、安装检测杆的测量段应是直的,其上下游直管段长度参照下表所规定的长度。序号上游侧局部阻力件形式上游侧下
序号
上游侧局部阻力件形式
上游侧
无整流器
有整流器
与检测杆在同一平面内
与检测杆不在同一平面内
1
有一个90°弯头或三通
7D
9D
6D
3D
2
在同一平面内有两个90°弯头 * *
9D
14D
8D
3D
3
在不同一平面内有两个90°弯头 * *
19D
24D
9D
4D
4
管道直径改变(收或扩)
8D
8D
8D
3D
5
部分开启的闸阀、球阀或其它节流阀
24D
24D
9D
4D
  
注:*D为管道标称直径,所给出数据为距离第二个弯头的长度。
  2、检测杆插入位置的角度允许偏差范围见图五。
  3、对于垂直管道,检测杆可安装在管道水平面沿管道圆周360°的任何位置上,高低压引压管接头应处于同一水平面上。对于水平管道,在测量液体时检测杆插入位置应位于管道横截面水平面中心线45°以下的范围内;测量气体时检测杆插入位置应位于管道横截面水平面中心线45°以上的范围内;测量蒸汽时检测杆应水平插入,见图六:
  4、管道上开孔尺寸Φ40。
  5、补偿用压力变送器在前直管段上,温度变送器(或铂电阻)装在后直管段上距离节流装置2D处。
 

产品相关关键字:阿牛巴流量计的价格,热电阻 阿牛巴流量计的生产厂家,哪里买阿牛巴流量计
 如果你对HD-LGA阿牛巴流量计感兴趣,想了解更详细的产品信息,填写下表直接与厂家联系:

产品名称:
公司:
姓名:
电话:
传真:
邮箱:
留言:
 *
验证码:
 *验证码
 
                      
 相关同类产品:
气体质量流量计
气体质量流量计
数字气体质量流量计
数字气体质量流量计
超声波水表
超声波水表
分流旋翼式蒸汽流量计
分流旋翼式蒸汽流量计
 
江苏午夜成人APP在线观看仪表有限公司  版权所有     地址:江苏省金湖工业园区   邮编:211600
           电话:0517-86500226   86500336 传真:0517-86800636   手机:13915187193    联系人:杨经理
E-mail:jshdyb@163.com   GoogleSitemap   baidusitemap 网址:http://www.9xiw.com 
网站地图