网站首页
公司简介
产品展示
企业动态
产品报价
技术文章
在线留言
联系午夜免费福利
流量计系列
·
智能电磁流量计
·
插入式电磁流量计
·
分体式电磁流量计
·
卫生型电磁流量计
·
阿牛巴流量计
·
V锥流量计
·
午夜成人小视频
·
旋进旋涡流量计
·
成人午夜免费视频
·
涡轮流量计
·
转子流量计
·
椭圆齿轮流量计
·
平衡流量计
·
弯管流量计
·
楔形流量计
·
靶式流量计
·
节流装置
·
热式气体质量流量计
·
一体化成人午夜免费视频
·
午夜免费福利
·
气体涡轮流量计
·
金属管浮子流量计
·
温压补偿午夜成人小视频
·
一体化威力巴流量计
·
蒸汽流量计
·
阀门组
温度仪表系列
·
热电阻
·
热电偶
·
温度变送器
·
双金属温度计
压力仪表系列
·
压力变送器
·
差压变送器
·
压力真空表
·
精密压力表
·
膜盒压力表
·
隔膜压力表
·
耐震压力表
·
不锈钢压力表
·
电接点压力表
校验仪表系列
·
校验仿真仪
·
多功能校验仪
·
精密数字压力计
·
全自动校验装置
·
智能压力校验仪
·
手(电,自)动气压源
·
手(电,自)动液压源
液位仪表系列
·
密度计
·
液位变送器
·
锅炉液位计
·
磁翻板液位计
·
超声波液位计
显示,记录仪表系列
·
智能巡检仪
·
智能调节仪
·
无(有)纸记录仪
·
安全栅、隔离器
料位开关/料位计
·
料位计
·
料位开关
请输入关键字
联系午夜免费福利
江苏午夜成人APP在线观看仪表有限公司
地
址:江苏省金湖工业园区
邮
编:
211600
电
话:
0517-86500336
86500226
传
真:
0517-86800636
联系人:杨经
理
手机
:
13915187193
(微信同号)
http://www.9xiw.com
E-mail:
jshdyb@163.com
企业动态
首页
>>
企业动态
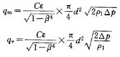
平衡流量计流量计算公式
发布日期:2013-11-01 点击:1325次
平衡流量计
流量计算公式
式中:qm ,qv——分别为质量流量(kg/s)和体积流量(m³/s);
C——流出系数 ;
ε——可膨胀性系数;
d——节流件开孔直径,m;
β——直径比,β=d/D;
D——管道内经,m;
ρ1——被测流体密度,kg/m³;
Δp——差压,Pa;
相关新闻:
电磁流量计按照故障发生时期分类
蒸汽流量计选型
银行收费项目不是越少越好
旋进旋涡流量计安装注意事项
电磁流量计的安装与调试比其它流量计复杂
电视厂商未来或靠内容而不是硬件
“土豪金”稀缺炒至万元
旋进漩涡流量计压力值与现场实际值不符
成人午夜免费视频如何调试
旋进旋涡流量计七个基本部件组成
江苏午夜成人APP在线观看仪表有限公司
版权所有
地址:江苏省金湖工业园区
邮编:
211600
电话:
0517-86500226 86500336
传真:
0517-86800636
手机:
13915187193
联系人:杨经理
E-mail
:
jshdyb
@163.com
GoogleSitemap
baidusitemap
网址:
http://www.9xiw.com
主营产品:
流量计
,
成人午夜免费视频
,
电磁流量计
,
V锥流量计
,
磁翻板液位计
网站地图