logo nu Map
网站首页公司简介产品展示企业动态产品报价技术文章在线留言联系午夜免费福利
江苏午夜成人APP在线观看仪表有限公司
导航菜单
流量计系列
· 智能电磁流量计
· 插入式电磁流量计
· 分体式电磁流量计
· 卫生型电磁流量计
· 阿牛巴流量计
· V锥流量计
· 午夜成人小视频
· 旋进旋涡流量计
· 成人午夜免费视频
· 涡轮流量计
· 转子流量计
· 椭圆齿轮流量计
· 平衡流量计
· 弯管流量计
· 楔形流量计
· 靶式流量计
· 节流装置
· 热式气体质量流量计
· 一体化成人午夜免费视频
· 午夜免费福利
· 气体涡轮流量计
· 金属管浮子流量计
· 温压补偿午夜成人小视频
· 一体化威力巴流量计
· 蒸汽流量计
· 阀门组
温度仪表系列
· 热电阻
· 热电偶
· 温度变送器
· 双金属温度计
压力仪表系列
· 压力变送器
· 差压变送器
· 压力真空表
· 精密压力表
· 膜盒压力表
· 隔膜压力表
· 耐震压力表
· 不锈钢压力表
· 电接点压力表
校验仪表系列
· 校验仿真仪
· 多功能校验仪
· 精密数字压力计
· 全自动校验装置
· 智能压力校验仪
· 手(电,自)动气压源
· 手(电,自)动液压源
液位仪表系列
· 密度计
· 液位变送器
· 锅炉液位计
· 磁翻板液位计
· 超声波液位计
显示,记录仪表系列
· 智能巡检仪
· 智能调节仪
· 无(有)纸记录仪
· 安全栅、隔离器
料位开关/料位计
· 料位计
· 料位开关
mulu
搜索 请输入关键字
联系午夜免费福利
江苏午夜成人APP在线观看仪表有限公司
    址:江苏省金湖工业园区
    编:211600
    话:0517-86500336      
                        86500226
    真:0517-86800636
联系人:杨经      
手机:13915187193(微信同号)
E-mail:jshdyb@163.com
 
技术文章

蒸汽流量计的满度频率如何计算和设置?


发布日期:2025-05-26 点击:759次
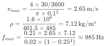
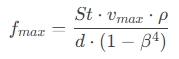
一、满度频率计算模型
满度频率()表征蒸汽流量计在最大工况流量下的输出信号频率,其计算需综合以下参数:

参数说明:
  • 斯特劳哈尔数(St):涡街发生体特征常数(0.15~0.25,需通过实流标定获取)
  • 最大流速(:由工况流量Qmax换算,=42
  • 介质密度(:根据蒸汽状态动态计算
    • 饱和蒸汽:s为蒸汽气体常数)
    • 过热蒸汽:(需引入压缩因子Z)
    • =
      • 管道内径(D)与涡街发生体等效直径(d)
      • 直径比(=/:典型值0.2~0.3
      案例计算:
      DN100管道(D=0.1m)输送饱和蒸汽,
      =30t/h,=1.6MPa,St=0.21

       
      二、智能设置方法
      1. 参数配置流程
      ① 工况建模
      建立蒸汽物性数据库,集成IAPWS-IF97公式实时计算密度、粘度等参数。
      ② 量程映射
      在DCS/PLC系统中设置量程分段:
      •   低流量段(10%-30%量程):采用三次样条插值算法
      •   高流量段(30%-100%量程):线性映射
      ③ 频率标定
      执行三点标定法:
      •   零点标定(无流动时强制f=0Hz)
      •   中间点标定(50%量程,误差≤±0.2%)
      •   满度标定(100%量程,验证f_{max}偏差)
      2. 动态补偿技术
      • 温度-压力耦合补偿
        集成双冗余PT100传感器,补偿周期≤100ms
      • 雷诺数自适应
        当Re>2×10⁵时自动切换湍流修正系数
      • 振动滤波
        配置数字带阻滤波器,中心频率避开机械共振点(如泵振动频率)
         
      • 三、工程验证规范
      1. 实验室验证
      • 频响测试:使用函数发生器输入标准正弦波,验证:
        •   频率跟踪误差≤±0.1%
        •   相位延迟≤1°(在f_{max}时)
      • 阶跃响应:流量阶跃变化时,响应时间≤50ms
      2. 现场验证
      • 标准表比对法:安装0.2级超声流量计进行同步测量
      • 质量平衡验证:在蒸汽管网中实施24小时累计量比对,允许偏差≤±0.5%
    • =
    • 四、典型问题解决方案
    • 异常现象

      诊断方法

      修正措施

      频率输出漂移
      检查Pt100传感器零点漂移
      执行三点标定,更换温度传感器
      高频段信号截断
      分析FFT频谱是否超过ADC采样率
      启用抗混叠滤波器,提升采样率至2kHz
      小流量无信号输出
      检测信噪比(SNR<20dB时需处理)
      增加前置放大器增益(≤60dB)
    •  
    • 五、智能运维策略
      1. 预测性维护
        建立频率-寿命关联模型:

      1. 为材质衰减系数,Δ/Δ为频率漂移率)
      2. 数字孪生验证
        在虚拟环境中模拟蒸汽工况变化,验证频率响应特性,确保设置参数可靠性。

      注: 对于贸易结算场景,建议每6个月使用音速喷嘴标准装置进行满度频率复验,确保计量误差持续符合GB/T 32201要求。
相关新闻:
电磁流量计衬里磨损检测技术要点
涡轮流量计对液体清洁度的技术要求
液体涡轮流量计轴承润滑方式及应用要点
成人午夜免费视频流量计算公式及应用说明
电磁流量计衬里更换技术规程
午夜成人小视频漩涡频率与流速的换算原理及公式
成人午夜免费视频的取压方式有哪些?
午夜免费福利的探头如何安装?
电磁流量计的绝缘电阻如何测量?
成人午夜免费视频的安装直管段长度要求是多少?
江苏午夜成人APP在线观看仪表有限公司  版权所有     地址:江苏省金湖工业园区   邮编:211600
           电话:0517-86500226   86500336 传真:0517-86800636   手机:13915187193    联系人:杨经理
E-mail:jshdyb@163.com   GoogleSitemap   baidusitemap 网址:http://www.9xiw.com 
网站地图