logo nu Map
网站首页公司简介产品展示企业动态产品报价技术文章在线留言联系午夜免费福利
江苏午夜成人APP在线观看仪表有限公司
导航菜单
流量计系列
· 智能电磁流量计
· 插入式电磁流量计
· 分体式电磁流量计
· 卫生型电磁流量计
· 阿牛巴流量计
· V锥流量计
· 午夜成人小视频
· 旋进旋涡流量计
· 成人午夜免费视频
· 涡轮流量计
· 转子流量计
· 椭圆齿轮流量计
· 平衡流量计
· 弯管流量计
· 楔形流量计
· 靶式流量计
· 节流装置
· 热式气体质量流量计
· 一体化成人午夜免费视频
· 午夜免费福利
· 气体涡轮流量计
· 金属管浮子流量计
· 温压补偿午夜成人小视频
· 一体化威力巴流量计
· 蒸汽流量计
· 阀门组
温度仪表系列
· 热电阻
· 热电偶
· 温度变送器
· 双金属温度计
压力仪表系列
· 压力变送器
· 差压变送器
· 压力真空表
· 精密压力表
· 膜盒压力表
· 隔膜压力表
· 耐震压力表
· 不锈钢压力表
· 电接点压力表
校验仪表系列
· 校验仿真仪
· 多功能校验仪
· 精密数字压力计
· 全自动校验装置
· 智能压力校验仪
· 手(电,自)动气压源
· 手(电,自)动液压源
液位仪表系列
· 密度计
· 液位变送器
· 锅炉液位计
· 磁翻板液位计
· 超声波液位计
显示,记录仪表系列
· 智能巡检仪
· 智能调节仪
· 无(有)纸记录仪
· 安全栅、隔离器
料位开关/料位计
· 料位计
· 料位开关
mulu
搜索 请输入关键字
联系午夜免费福利
江苏午夜成人APP在线观看仪表有限公司
    址:江苏省金湖工业园区
    编:211600
    话:0517-86500336      
                        86500226
    真:0517-86800636
联系人:杨经      
手机:13915187193(微信同号)
E-mail:jshdyb@163.com
 
技术文章

气体涡轮流量计数值模拟与实验测试方法


发布日期:2024-05-27 点击:1557次
  气体涡轮流量计是一种速度式的流量传感器,具有测量精度高、量程范围广、可靠性好以及使用方便等优点。随着我国西气东输工程的全线贯通,纵横交错的天然气管网使我国形成世界上天然气管网。气体涡轮流量计被广泛应用于天然气管网中的贸易计量,市场前景广阔。气体涡轮流量计的结构改进及其性能优化在流量计量领域具有十分重要的应用价值与现实意义。
  将气体涡轮流量计前整流器的叶片截取合适切角,发现当叶片切角参数为0.25时流量计的性能最好。对前整流器结构进行分析,得到了流量计压力损失和线性度误差均为最小时前整流器的叶片数与长度。在前导流体研究方面.将前导流体直径、前导流体与轮毂间距作为改进参数,比较了不同结构参数下气体涡轮流量计的性能指标。用流线型前导流体结构代替传统半球形前导流体,使得流量计的压力损失降低了近33%。一种三叶片长螺旋叶轮结构,流量计测量的重复性明显提高,测量的相对示值误差明显降低。基于响应面法和正交试验法,得出了影响流量计性能的叶轮结构参数顺序为:叶轮顶端半径>叶轮叶片数>叶轮轮毂长度>叶轮轮毂半径。在后导流体方面,优化了后导流体的叶片倒角。发现流量计的压力损失随着叶片倒角的增大而增加。通过数值模拟对流量计内部的流场特征进行分析,发现后导流体产生的压力损失达到了总压力损失的55%。
  综上所述,前人对气体涡轮流量计的研究主要集中在叶轮、前整流器与前导流体部分,而对后导流体与表芯支座的结构改进及其性能优化目前还较为少见。实际上,后导流体在流量计中对流体起到稳流和导流的作用,表芯支座是固定叶轮的主要结构,它们均会对流量计的性能产生影响。因此,以TM80气体涡轮流量计为对象,采用数值模拟与实验测试相结合的方式,研究流量计内部的流场特.征,提出针对表芯支座和后导流体的结构优化方案,进而评估优化前后流量计的性能指标,探索出提高流量计计量性能的方法。
1.数值模拟方法
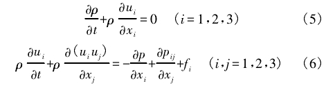
  气流在气体涡轮流量计内部的流动遵循流体力学的基本方程,即满足流体运动的质量守恒方程和动量守恒方程。质量守恒方程和动量守恒方法表示为:
 
  式中:xi,xi为空间坐标分量,ui,uj为流体流动速度分量:p为静压,pij为应力张量ƒi为体积力分量。
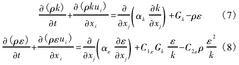
  由于流量计结构十分复杂,气流在流量计内部的运动往往呈现湍流状态。为了实现对湍流的模拟,需要额外引入湍流模型。本文选取RNGk-ε模型作为湍流模型,其湍流动能h和耗散率ε的输运方程表示为:
 
  式中:Gk表示平均速度梯度所产生的湍流动能.αε,αk分别表示ε和h的扩散率,C1ε、C2ε为系数。
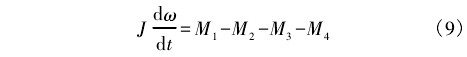
  由于气流运动与叶轮旋转存在相互作用,需要引入扭矩模型根据力矩平衡原理,叶轮旋转的运动方程可以表示为:
 
  式中:J为叶轮惯性力矩,单位为kg·m2;dɷ/dt为叶轮角加速度,单位为rad/s2;M1为流体对叶轮驱动力矩;M2为轴承摩擦阻力矩,单位为N·m;M3为黏性阻力矩,单位为N·m;M4为磁阻力矩,单位为N·m;t为时间,单位为s。
  采用Fluent软件求解流量计内部气流的运动方程。为了消除管道进口段效应对模拟结果的影响,在流量计的进出口均增加了10D的直管段(D为机芯直径)。由于给定了流体的体积流量,进口采用速度进口边界条件,进口平均速度通过u=Qv/A确定,方向与进口直管段截面垂直;出口为大气压,壁面采用无滑移边界。为了求解叶轮旋转运动方程,把整个计算区域分解为静区域和叶轮旋转的动区域,动区域和静区域之间采用多重参考模型(MRF)耦合叶轮采用滑移边界条件,与旋转区域具有相同的转速。叶轮旋转区域与前后静区域之间的表面定义为interface边界,便于与其他流域进行信息交换。
2.测试方法
  测试采用标准表法气体流量标准装置。实验装置主要由罗茨流量计、
气体涡轮流量计、稳压气罐、气动阀门、气泵和控制系统等组成,如图2所示。实验通过远程操作PLC设备,调节气动阀门的开度,实现对气体体积流量的控制。罗茨流量计作为标准表,其工作量程为0~250m3/h,流量控制精度为0.5级。气体涡轮流量计作为待测流量计,其测量精度等级为1级,工作量程为13m3/h~250m3/h,量程比为20:1。差压计的两个.测压口分别安装在待测流量计的前后直管段3D处,其量程范围为土3000Pa.测量精度等级为1级。气泵与气动阀门相连,能够产生相对稳定的负压。根据国家计量检定标准,气体涡轮流量计需检定13m3/h、50m3/h、100m3/h和250m3/h等特征流量点。每个流量点进行多次测量,实验结果得到标准表和被测流量计的压力损失、脉冲数、体积流量以及单流量点的测量时间,数据处理后得到仪表系数和最大示值误差等指标,进而评估气体涡轮流量计的计量性能。
 
相关新闻:
电磁流量计衬里磨损检测技术要点
涡轮流量计对液体清洁度的技术要求
液体涡轮流量计轴承润滑方式及应用要点
成人午夜免费视频流量计算公式及应用说明
电磁流量计衬里更换技术规程
午夜成人小视频漩涡频率与流速的换算原理及公式
成人午夜免费视频的取压方式有哪些?
午夜免费福利的探头如何安装?
电磁流量计的绝缘电阻如何测量?
成人午夜免费视频的安装直管段长度要求是多少?
江苏午夜成人APP在线观看仪表有限公司  版权所有     地址:江苏省金湖工业园区   邮编:211600
           电话:0517-86500226   86500336 传真:0517-86800636   手机:13915187193    联系人:杨经理
E-mail:jshdyb@163.com   GoogleSitemap   baidusitemap 网址:http://www.9xiw.com 
网站地图