logo nu Map
网站首页公司简介产品展示企业动态产品报价技术文章在线留言联系午夜免费福利
江苏午夜成人APP在线观看仪表有限公司
导航菜单
流量计系列
· 智能电磁流量计
· 插入式电磁流量计
· 分体式电磁流量计
· 卫生型电磁流量计
· 阿牛巴流量计
· V锥流量计
· 午夜成人小视频
· 旋进旋涡流量计
· 成人午夜免费视频
· 涡轮流量计
· 转子流量计
· 椭圆齿轮流量计
· 平衡流量计
· 弯管流量计
· 楔形流量计
· 靶式流量计
· 节流装置
· 热式气体质量流量计
· 一体化成人午夜免费视频
· 午夜免费福利
· 气体涡轮流量计
· 金属管浮子流量计
· 温压补偿午夜成人小视频
· 一体化威力巴流量计
· 蒸汽流量计
· 阀门组
温度仪表系列
· 热电阻
· 热电偶
· 温度变送器
· 双金属温度计
压力仪表系列
· 压力变送器
· 差压变送器
· 压力真空表
· 精密压力表
· 膜盒压力表
· 隔膜压力表
· 耐震压力表
· 不锈钢压力表
· 电接点压力表
校验仪表系列
· 校验仿真仪
· 多功能校验仪
· 精密数字压力计
· 全自动校验装置
· 智能压力校验仪
· 手(电,自)动气压源
· 手(电,自)动液压源
液位仪表系列
· 密度计
· 液位变送器
· 锅炉液位计
· 磁翻板液位计
· 超声波液位计
显示,记录仪表系列
· 智能巡检仪
· 智能调节仪
· 无(有)纸记录仪
· 安全栅、隔离器
料位开关/料位计
· 料位计
· 料位开关
mulu
搜索 请输入关键字
联系午夜免费福利
江苏午夜成人APP在线观看仪表有限公司
    址:江苏省金湖工业园区
    编:211600
    话:0517-86500336      
                        86500226
    真:0517-86800636
联系人:杨经      
手机:13915187193(微信同号)
E-mail:jshdyb@163.com
 
技术文章

午夜免费福利的流量修正系数K如何标定


发布日期:2023-08-17 点击:2327次
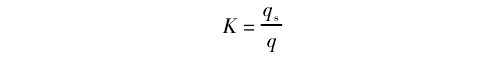
1.流量修正系数K的定义 
  午夜免费福利定义
午夜免费福利流量修正系数K为标准流量qs与午夜免费福利显示流量q的比值,即: 
 
2.被标定的午夜免费福利 
  标定的午夜免费福利为0.5级、用于现场校准其他被校流量计的标准午夜免费福利,此午夜免费福利含有1对传感器(即超声波探.头),测量范围为DN15~DN400。 
3.液体流量标准装置(以下简称“装置”) 
  采用的装置为0.05%、测量口径为DN15~DN250的静态质量法液体流量标准装置。 
4.标定方法 
(1)将定做的标准管道安装到装置.上。 
(2)打开午夜免费福利,把相关参数(如管道材质、外径、壁厚、粗糙度、水温等)设置好,并将探头根据所得到的安装距离安装在标准管道上。 
(3)启动装置,检查密封性,保证不漏后调节流量至所需流量点,待流量稳定后进行标定。 
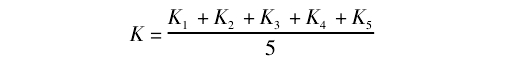
(4)由于现场使用时午夜免费福利的流量值为显示值,因此在实验室标定时,午夜免费福利的流量值亦通过读数获得,设定每点每次标定的时间为60s,在标定时间内,每隔10s读取一个显示值,每次可以获得6个数据,将这6个数据去掉最大和最小值,剩余4个做平均,得到该次的午夜免费福利流量示值(q)ij,而标准流量值(qs)ij由装置操作软件得到,从而算出Kij。 
每点进行3次标定,从而得到Ki; 
 
  根据
午夜免费福利的特性,分别在以下5个点进行标定:5、2、1、0.5以及0.3m/s,得到各流量点下的Ki,从而算出午夜免费福利在该管道材质及管径下的流量修正系数K: 
 
5.流量修正系数K 
  流量修正系数K汇总表如表1所示,K折线图如图2所示。 
 
6.应用举例 
  用标准午夜免费福利现场校准一台DN100的电磁流量计,管道材质为碳钢,午夜免费福利显示值为qs=85.33m3/h,被校电磁流量计显示值q=86.94m3/h。 
6.1忽略不同材质对K的影响 
  由于此前标准午夜免费福利只在DN100的不锈钢管道上进行检定,没做不同材质的流量修正系数K实验,则此时K使用的是不锈钢材质的值,为1.0123,标准午夜免费福利显示值为q's=qsxK=86.38m3/h,则示值误差E'为: 
 
6.2考虑不同材质对K的影响 
  这种情况下应该使用DN100、材质为碳钢的K值,查上表,得K=1.0181,那么标准
午夜免费福利显示值为q"s=qsxK=86.87m3/h,此时示值误差E"为: 
相关新闻:
电磁流量计衬里磨损检测技术要点
涡轮流量计对液体清洁度的技术要求
液体涡轮流量计轴承润滑方式及应用要点
成人午夜免费视频流量计算公式及应用说明
电磁流量计衬里更换技术规程
午夜成人小视频漩涡频率与流速的换算原理及公式
成人午夜免费视频的取压方式有哪些?
午夜免费福利的探头如何安装?
电磁流量计的绝缘电阻如何测量?
成人午夜免费视频的安装直管段长度要求是多少?
江苏午夜成人APP在线观看仪表有限公司  版权所有     地址:江苏省金湖工业园区   邮编:211600
           电话:0517-86500226   86500336 传真:0517-86800636   手机:13915187193    联系人:杨经理
E-mail:jshdyb@163.com   GoogleSitemap   baidusitemap 网址:http://www.9xiw.com 
网站地图