 |
请输入关键字 |
|
|
| 联系午夜免费福利 |
江苏午夜成人APP在线观看仪表有限公司
地 址:江苏省金湖工业园区
邮 编:211600
电 话:0517-86500336
86500226
传 真:0517-86800636
联系人:杨经理
手机:13915187193(微信同号)
E-mail:jshdyb@163.com
|
|
|
涡轮流量计的校准结果处理 |
|
| 发布日期:2023-08-02 点击:1248次 |
在实际工作中,根据JJG1037-2008《涡轮流量计检定规程》中给出的平均仪表系数和示值最大误差的计算方法,高粘度介质测量时往往会造成很大的测量误差,影响产品的验收。但是经过对数据的分析,使用最小二乘法进行曲线拟合,找到曲线A、B值,将A、B值再置入显示仪表,实际测量结果与标准流量偏差会减小,可以保证测量结果的准确性。为了分析不同的测量结果数据处理方法对实际测量影响,午夜免费福利选取天津仪表集团有限公司生产的LWGY40型涡轮流量计,于2015年3月9日,用4050号航空润滑油(粘度27.74x10-6m2/s)为介质,在国防4113二级计量站进行了测试。
1)使用K系数法结果如表1所示,标准流量、K系数法实际显示流量与频率的散点图如图3所示。
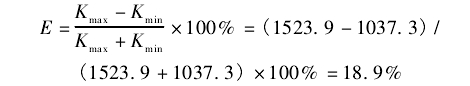
从图3可以看出,根据仪表K系数进行设置后,实际使用时流量显示与标准流量之间有较大差异,说明该方法测量结果偏离真实结果较大,也就是测量误差大。通过计算也可以看到,将平均仪表系数置入仪表中,会造成18.9%的测量误差。
2)使用最小二乘法结果如表2所示,根据测试数据,使用MINTAB软件进行处理,可以做出频率与最小二乘法显示流量的曲线图(如图4所示),得到曲线的A、B值。根据曲线方程计算得到实际显示流量,标准流量、最小二乘法实际显示流量与频率的散点图如图5所示。
图5是标准流量、最小二乘法实际显示流量与频率的散点图,从图.上可以看出,根据仪表最小二乘法设置A、B后,实际使用时流量显示与标准流量之间差异很小,说明该方法测量结果偏离真实结果较小,也就是测量误差较小。
3)将以上两种方法的实际流量测量数据与标.准流量数据进行拟合,使用MINTAB软件进行处理,作散点图如图6所示。
图6可知,最小二乘法流量曲线与标准流量曲线基本重合,说明流量偏差很小;K系数法流量曲线与标准流量曲线随着频率的增大差异也越大,说明流量偏差也越大。
根据以上的数据分析,涡轮流量计实际工作中对于高粘度介质进行流量测量时,使用最小二乘法数据处理的方法更科学,更能准确进行流量测量。虽然根据JJG1037--2008的要求,需要使用K系数法,但一-般在产品的出厂说明书中会明确指出,实际测量介质与出厂介质不同或粘度差异较大时,需要使用实际介质进行标定。 |
 |
相关新闻: |
 |
|
|