logo nu Map
网站首页公司简介产品展示企业动态产品报价技术文章在线留言联系午夜免费福利
江苏午夜成人APP在线观看仪表有限公司
导航菜单
流量计系列
· 智能电磁流量计
· 插入式电磁流量计
· 分体式电磁流量计
· 卫生型电磁流量计
· 阿牛巴流量计
· V锥流量计
· 午夜成人小视频
· 旋进旋涡流量计
· 成人午夜免费视频
· 涡轮流量计
· 转子流量计
· 椭圆齿轮流量计
· 平衡流量计
· 弯管流量计
· 楔形流量计
· 靶式流量计
· 节流装置
· 热式气体质量流量计
· 一体化成人午夜免费视频
· 午夜免费福利
· 气体涡轮流量计
· 金属管浮子流量计
· 温压补偿午夜成人小视频
· 一体化威力巴流量计
· 蒸汽流量计
· 阀门组
温度仪表系列
· 热电阻
· 热电偶
· 温度变送器
· 双金属温度计
压力仪表系列
· 压力变送器
· 差压变送器
· 压力真空表
· 精密压力表
· 膜盒压力表
· 隔膜压力表
· 耐震压力表
· 不锈钢压力表
· 电接点压力表
校验仪表系列
· 校验仿真仪
· 多功能校验仪
· 精密数字压力计
· 全自动校验装置
· 智能压力校验仪
· 手(电,自)动气压源
· 手(电,自)动液压源
液位仪表系列
· 密度计
· 液位变送器
· 锅炉液位计
· 磁翻板液位计
· 超声波液位计
显示,记录仪表系列
· 智能巡检仪
· 智能调节仪
· 无(有)纸记录仪
· 安全栅、隔离器
料位开关/料位计
· 料位计
· 料位开关
mulu
搜索 请输入关键字
联系午夜免费福利
江苏午夜成人APP在线观看仪表有限公司
    址:江苏省金湖工业园区
    编:211600
    话:0517-86500336      
                        86500226
    真:0517-86800636
联系人:杨经      
手机:13915187193(微信同号)
E-mail:jshdyb@163.com
 
技术文章

午夜免费福利如何进行主导因素修正


发布日期:2023-07-18 点击:1714次
1.声路角误差修正 
  由于直接测量
午夜免费福利角度较为困难,且其测量仪器精度不能达到要求,因此考虑在测量方式上进行优化,提出一种依据长度安装要求达到控制声路角的方法。 
 
  图4所示为流量相对误差与声路角的关系。由图4可知,在声路角测量误差较小时,流量测量相对误差随声路角(安装角)大小的变化不明显,如图中红线(σθ=0.1%)所示。反之,若声路角测量误差较大,则流量相对误差随声路角的变化呈抛物线变化,如图中绿线(σθ=1°)所示,且存在一个最小值。声路角不变时,流量相对误差会随着绝对误差的增大而增大。 
 
  令შσ/შθ=0,有θ=45°时,流量的相对误差σ0Q取最小。 
2.K值的修正 
  K系数与流体型态有关且随雷诺数变化而变化,研究不同型态下的K系数随雷诺数变化规律有利于流量补偿计算和提高测量精度。 
  由式(24)可知,层流时的修正系数K=4/3,但对大管径来说,场内流态一般是紊流情况。因此,本文重点分析紊流时的
午夜免费福利系数K的修正。 
  紊流时修正系数与雷诺数有关,经验公式为: 
K=1.119-0.011xlgRe(25) 
  依据式(25)可知.流量系数与雷诺数呈线性关系,雷诺数变化直接影响流量系数的取值。本文考虑根据雷诺数相关的变量来对K值进行修正。雷诺数计算公式为: 
 
  式中:V为平均流速;D为管道内经;Ƴ为流体运动粘度。 
  由式(26)可知,雷诺数大小与3个变量有关。当管径一定时,雷诺数会随着平均流速和流体粘度变化而变化。水的粘度随温度的变化而变化,温度变化会影响到雷诺数,进而影响流量修正系数K的值。因此找出粘度随温度的变化关系对K的准确性有着一定的影响。 
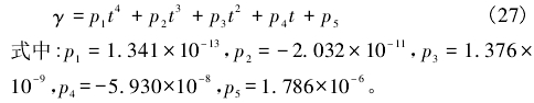
  流体粘度受流体温度的影响具有非线性特点,通过拟合温度与运动粘度值,得到不同温度下水的运动粘度的曲线,如图5所示。 
  多项式拟合表达式为: 
 
 
  随着温度的升高,水的粘度非线性特征愈发明显。在0~50℃范围内水的粘度值差值可达到1.2x10-6m2/s,对应的雷诺数误差为66.67%,不容忽视。 
  将得到的拟合曲线依次代入式(19)、(20)得: 
 
  由图6可以看出,同一管径条件下,
午夜免费福利系数随平均流速和温度的增加都呈非线性减小趋势。其他条件一定时,随着管径D的增大流量系数K值会减小。 
  此修正方法将温度和流速变化与K值联系起来,两者任一值发生变化都能找到相对应的修正系数值,为准.确测得流量提供了一定的理论基础。 
相关新闻:
电磁流量计衬里磨损检测技术要点
涡轮流量计对液体清洁度的技术要求
液体涡轮流量计轴承润滑方式及应用要点
成人午夜免费视频流量计算公式及应用说明
电磁流量计衬里更换技术规程
午夜成人小视频漩涡频率与流速的换算原理及公式
成人午夜免费视频的取压方式有哪些?
午夜免费福利的探头如何安装?
电磁流量计的绝缘电阻如何测量?
成人午夜免费视频的安装直管段长度要求是多少?
江苏午夜成人APP在线观看仪表有限公司  版权所有     地址:江苏省金湖工业园区   邮编:211600
           电话:0517-86500226   86500336 传真:0517-86800636   手机:13915187193    联系人:杨经理
E-mail:jshdyb@163.com   GoogleSitemap   baidusitemap 网址:http://www.9xiw.com 
网站地图