 |
请输入关键字 |
|
|
| 联系午夜免费福利 |
江苏午夜成人APP在线观看仪表有限公司
地 址:江苏省金湖工业园区
邮 编:211600
电 话:0517-86500336
86500226
传 真:0517-86800636
联系人:杨经理
手机:13915187193(微信同号)
E-mail:jshdyb@163.com
|
|
|
午夜成人小视频的修正公式误差及不确定度分析 |
|
| 发布日期:2023-06-27 点击:2457次 |
1.修正误差分析
为验证上述修正因子拟合公式的准确性,进行了误差分析。误差计算公式为:
式中:δ为修正误差,%;K'gas为空气介质仪表系数修正值,1/m3;Kgas为空气介质仪表系数实验值,1/m3。
四台不同口径实验用午夜成人小视频仪表系数K的修正结果如图2~5所示。
修正误差计算结果如表1所示。
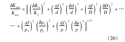
2.修正公式不确定度分析
由第三节分析可知修正系数的不确定度输入量包括:水介质仪表系数K的测量不确定度、发生体特征宽度d的测量不确定度、测量管内径D的测量不确定度、压力测量的不确定度等。则修正系数的相对标准不确定度的计算公式如下:
2.1水介质仪表系数K
水介质仪表系数K的测量采用静态质量法水3流量标准装置,其流量范围为(0.2~680)rm3/h,测量扩展不确定度为Ur=0.029%,k=2,则:
2.2发生体特征宽度d和测量管内径D
发生体特征宽度和测量管内径的测量采用激光跟踪仪,查询该装置的校准证书得到其测量不确定.度为:UL=(0.5+0.3L)μm,h=2,则:
以DN50的分析结果为例,将各不确定度分量汇总如表2所示。
2.4拟合方法引入的不确定度
考虑曲线拟合法引入的不确定度提出拟合方法的不确定度计算公式如下:
式中:δI为各测试点的修正误差,%;n为测试点个数;v为拟合常数个数(自由度)。
2.5合成标准不确定度
综上,修正系数的合成标准不确定度为:
4台不同口径的午夜成人小视频的不确定度分析结果如表3所示。

|
 |
相关新闻: |
 |
|
|