 |
请输入关键字 |
|
|
| 联系午夜免费福利 |
江苏午夜成人APP在线观看仪表有限公司
地 址:江苏省金湖工业园区
邮 编:211600
电 话:0517-86500336
86500226
传 真:0517-86800636
联系人:杨经理
手机:13915187193(微信同号)
E-mail:jshdyb@163.com
|
|
|
椭圆齿轮流量计工作原理及流量的理论分析 |
|
| 发布日期:2023-05-30 点击:1856次 |
1.椭圆齿轮流量计工作原理
以2阶椭圆齿轮流量计为例,图4是2阶椭圆齿轮流量计原理图,当齿轮按图示方向旋转时,右侧吸油腔由于相互啮合的齿轮逐渐脱开,密封工作容积逐渐增大,形成部分真空,因此油箱中的油液在大气压的作用下经吸油管进入吸油腔,将齿间槽充满,并随着齿轮旋转,把油液带到左侧压油腔内。在压油区一侧由于齿轮在这里逐渐进入啮合,密封工作腔容积不断减小,油液便被挤压出去,从压油腔输送到压力管中去。在椭圆齿轮流量计的工作过程中,只要两齿轮的旋转方向不变,其吸、排油腔的位置也就确定不变。这里啮合点处的的齿面接触线分离高、低压两腔并起着配油作用,因此在流量计中不需要设置专门的配流机构,这是它与其他容积式液流量计的不同之处。
2.椭圆齿轮流量计流量的理论分析
由图5所示的2阶椭圆齿轮流量计中齿轮副的转动关系及3阶椭圆齿轮流量计中齿轮副的转动关系中可看出椭圆齿轮副在转动过程中会经历两个相同的周期。
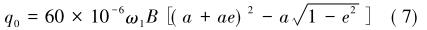
高阶椭圆齿轮泵的平均流量计算公式
式中:ω1为主动轮的驱动速度(rad)。
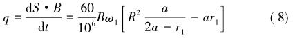
高阶椭圆齿轮泵的瞬时流量计算公式
式中:R为流量计内腔半径,R=a(1+e);B为椭圆齿轮宽度,mm。
|
 |
相关新闻: |
 |
|
|