插入式电磁流量计整个硬件电路(图2)包括电源部分、励磁电路部分、信号放大采集处理部分及输入输出显示部分。其中影响流量计测量精度的主要是励磁电路部分和信号放大采集处理部分。
励磁电路采用低频三值矩形波励磁(图3),这种励磁方式既可以大幅减小由直流励磁时产生的电极极化效应,也可以克服正弦波励磁产生的正交干扰的影响,同时,低频三值矩形波励磁比低频矩形波励磁有更低的励磁功率,而且还可以在零值励磁时进行零点自动补偿,稳定流量计的零点。
虽然插入式电磁流量计采用低频三值矩形波励磁时它的极化现象和正交干扰较弱,但也不能从根本上完全消除,再加上感应电动势在信号线传输过程中信号线也会在空间磁场的作用下产生干扰信号,所以实际测量得到的电压信号是有用信号与各种干扰信号的“组合”,它不仅包含流速信号也包含各种干扰信号。
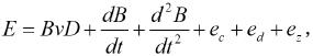
插入式电磁流量计两个电极上实际测量得到的电压信号可以用以下的信号模型来表示。即
流量信号
式中,BvD为称为流速信号,是插入式电磁流量计需要通过检测电路得到的真实测量值; 和 是微分干扰和同相干扰;ec为共模干扰;ed为串模干扰;ez为电化学干扰。
微分干扰和同相干扰会随着磁场的稳定而快速消失;共模干扰和串模干扰会造成插入式电磁流量计零点漂移,传输信号线采用屏蔽线,确保仪表接地良好可大幅度减弱其影响;电化学干扰主要是电极表面的极化现象会造成插入式电磁流量计零点不稳,提高励磁频率可以减小其影响。观察管道流体流速在5m/s左右时感应信号(图4),可以发现除去毛刺感应信号幅值可达25mV,但其中有用信号的幅值在0.5mV左右,所以信号放大采集过程中要进行滤波。参照励磁方式,分析流速信号电压的基本特征,以下从信号放大采集处理部分对流速信号能够有效地、针对性地放大、处理和滤除杂波进行分析。
前置放大电路(图5)采用仪表放大器进行放大,仪表放大器前端是RFI滤波器,滤除衰减大部分干扰信号,
R1为精密电阻,确保放大倍数稳定。二极管D1、D2可以限制输入信号的大小,避免误接线造成损坏。
AD8226是ADI公司一款低成本、宽电源电压范围仪表放大器,插入式电磁流量计放大器具有超高输入阻抗、高共模抑制比、低噪声、低线性误差、低输出阻抗的优点,查看芯片手册可以得到。信号放大电路(图6)采用运算放大器TLC2262,TLC2262是TI公司双路运算放大器可以达到轨对轨输出的性能,电阻R2、R4为精密电阻,确保放大倍数稳定,R24和C31组成一个低通滤波器。
注:实际放大25倍,共模抑制比为20000倍,液体电导率≧25uS/cm,信号内阻一般小于400kΩ;误差小于0.05%;温漂小于0.01。
由低通滤波器进行衰减并滤除部分杂波后的信号SIGN(图7)经模拟开关进入精密ADC进行AD转换输入单片机。可以发现,此时的信号与励磁波形已经十分相似,信号高低处已经十分平滑,可以进行AD转换。
|