logo nu Map
网站首页公司简介产品展示企业动态产品报价技术文章在线留言联系午夜免费福利
江苏午夜成人APP在线观看仪表有限公司
导航菜单
流量计系列
· 智能电磁流量计
· 插入式电磁流量计
· 分体式电磁流量计
· 卫生型电磁流量计
· 阿牛巴流量计
· V锥流量计
· 午夜成人小视频
· 旋进旋涡流量计
· 成人午夜免费视频
· 涡轮流量计
· 转子流量计
· 椭圆齿轮流量计
· 平衡流量计
· 弯管流量计
· 楔形流量计
· 靶式流量计
· 节流装置
· 热式气体质量流量计
· 一体化成人午夜免费视频
· 午夜免费福利
· 气体涡轮流量计
· 金属管浮子流量计
· 温压补偿午夜成人小视频
· 一体化威力巴流量计
· 蒸汽流量计
· 阀门组
温度仪表系列
· 热电阻
· 热电偶
· 温度变送器
· 双金属温度计
压力仪表系列
· 压力变送器
· 差压变送器
· 压力真空表
· 精密压力表
· 膜盒压力表
· 隔膜压力表
· 耐震压力表
· 不锈钢压力表
· 电接点压力表
校验仪表系列
· 校验仿真仪
· 多功能校验仪
· 精密数字压力计
· 全自动校验装置
· 智能压力校验仪
· 手(电,自)动气压源
· 手(电,自)动液压源
液位仪表系列
· 密度计
· 液位变送器
· 锅炉液位计
· 磁翻板液位计
· 超声波液位计
显示,记录仪表系列
· 智能巡检仪
· 智能调节仪
· 无(有)纸记录仪
· 安全栅、隔离器
料位开关/料位计
· 料位计
· 料位开关
mulu
搜索 请输入关键字
联系午夜免费福利
江苏午夜成人APP在线观看仪表有限公司
    址:江苏省金湖工业园区
    编:211600
    话:0517-86500336      
                        86500226
    真:0517-86800636
联系人:杨经      
手机:13915187193(微信同号)
E-mail:jshdyb@163.com
 
技术文章

成人午夜免费视频结构与工作原理


发布日期:2023-03-15 点击:2008次
1.成人午夜免费视频结构
  成人午夜免费视频属于差压流量计范畴,作为一个节流件,使上下游产生压力差,主要分为标准孔板和非标准孔板(锥形入口孔板,1/4圆孔板,偏心孔板,圆缺孔板,多孔孔板等)。其结构简单,如图1所示:D为管道内径,d为孔板内径,E为孔板厚度,e为节流孔厚度。其中d12.5mm,出口楔角φ在30°~60°之间,e(0.0050.02)D之间,Ee0.05D之间。

2.工作原理
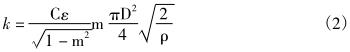
  成人午夜免费视频工作时,是将孔板与多参数差压变送器(或差压变送器,温度变送器及压力变送器)配套组成的高量程比差压流量装置,可测量气体,蒸汽,液体等介质的流量,成人午夜免费视频的流量公式为:
 
式中:qV--流过成人午夜免费视频的体积流量,m3/h;
C--流出系数,通过标准流量实验装置检定得到;
ε--膨胀系数,当被测介质为液体时,ε=1可忽略,当被测介质为气体时,因介质可压缩,ε为小于1的数值,需要经过研究方能得到;
m--流通截面与管道截面之比,仅与成人午夜免费视频相关几何参数有关;
D--管道内径,m;
Δp--孔板节流件前后产生的差压,由差压变送器测量得到,Pa;
ρ--被测流体密度,kg/m3。
因此C,ε,m,D,ρ为常数,设:
 
则式(1)可简化为:
 
由式(3)可知,流过成人午夜免费视频的体积流量与节流件前后压差的开方根呈线性关系,且经过原点。
相关新闻:
电磁流量计衬里磨损检测技术要点
涡轮流量计对液体清洁度的技术要求
液体涡轮流量计轴承润滑方式及应用要点
成人午夜免费视频流量计算公式及应用说明
电磁流量计衬里更换技术规程
午夜成人小视频漩涡频率与流速的换算原理及公式
成人午夜免费视频的取压方式有哪些?
午夜免费福利的探头如何安装?
电磁流量计的绝缘电阻如何测量?
成人午夜免费视频的安装直管段长度要求是多少?
江苏午夜成人APP在线观看仪表有限公司  版权所有     地址:江苏省金湖工业园区   邮编:211600
           电话:0517-86500226   86500336 传真:0517-86800636   手机:13915187193    联系人:杨经理
E-mail:jshdyb@163.com   GoogleSitemap   baidusitemap 网址:http://www.9xiw.com 
网站地图