logo nu Map
网站首页公司简介产品展示企业动态产品报价技术文章在线留言联系午夜免费福利
江苏午夜成人APP在线观看仪表有限公司
导航菜单
流量计系列
· 智能电磁流量计
· 插入式电磁流量计
· 分体式电磁流量计
· 卫生型电磁流量计
· 阿牛巴流量计
· V锥流量计
· 午夜成人小视频
· 旋进旋涡流量计
· 成人午夜免费视频
· 涡轮流量计
· 转子流量计
· 椭圆齿轮流量计
· 平衡流量计
· 弯管流量计
· 楔形流量计
· 靶式流量计
· 节流装置
· 热式气体质量流量计
· 一体化成人午夜免费视频
· 午夜免费福利
· 气体涡轮流量计
· 金属管浮子流量计
· 温压补偿午夜成人小视频
· 一体化威力巴流量计
· 蒸汽流量计
· 阀门组
温度仪表系列
· 热电阻
· 热电偶
· 温度变送器
· 双金属温度计
压力仪表系列
· 压力变送器
· 差压变送器
· 压力真空表
· 精密压力表
· 膜盒压力表
· 隔膜压力表
· 耐震压力表
· 不锈钢压力表
· 电接点压力表
校验仪表系列
· 校验仿真仪
· 多功能校验仪
· 精密数字压力计
· 全自动校验装置
· 智能压力校验仪
· 手(电,自)动气压源
· 手(电,自)动液压源
液位仪表系列
· 密度计
· 液位变送器
· 锅炉液位计
· 磁翻板液位计
· 超声波液位计
显示,记录仪表系列
· 智能巡检仪
· 智能调节仪
· 无(有)纸记录仪
· 安全栅、隔离器
料位开关/料位计
· 料位计
· 料位开关
mulu
搜索 请输入关键字
联系午夜免费福利
江苏午夜成人APP在线观看仪表有限公司
    址:江苏省金湖工业园区
    编:211600
    话:0517-86500336      
                        86500226
    真:0517-86800636
联系人:杨经      
手机:13915187193(微信同号)
E-mail:jshdyb@163.com
 
技术文章

成人午夜免费视频的测量的计算方法


发布日期:2023-02-01 点击:2673次
1.成人午夜免费视频原理 
  如图1所示流体流经
成人午夜免费视频的节流元件时的压力、速度变化情况。从图中可见,沿水平管靠近流动到节流元件前的截面1处的流体,流束开始收缩,靠近管壁处的流体将向管道中心加速,而管道中心处流体的压力开始下降。由于惯性作用,流束的最小截面位置不在节流元件处由于流体流过节流元件后流束继续收缩的原因,而在节流元件后的截面2处(此位置随流量大小而变),此处流体平均流速U2最大,压力p2最低。截面2后,流束.逐渐扩大。在截面3处,流体速度Uz恢复到节流前的速度U1(U3=U1),流束又充满管道。压力P3不能恢复到原来的数值p1,由于流体流经节流元件时会产生漩涡以及盐城的摩擦阻力等会造成能量损失的原因,P1与p3的差值δp=p1-ps称为流体流经节流元件的压力损失。 
 
2.节流装置设计计算分类 
  成人午夜免费视频的设计与制造主要参照以下标准:ISO5167Measurementoffluidflow-DifferentialPressureDevices,2003/GB/T2624用安装在工程项目设计中,需要根据成人午夜免费视频所安装的管道等级,以及工艺专业提供的不同工况下的流量,对成人午夜免费视频进行选型,同时计算孔板的孔径以及Beta系数。 
3.
成人午夜免费视频孔径计算方法 
  一次装置安装在充满流体的管线中确立为测量原理,装人一次装置后装置的.上游侧与喉部或下游侧之间产生一个静压差。假设该装置与经过校准的一个装置几何相似且使用条件相同,据该压差的实测值和流动流体的特性以及装置的使用环境,从而确定流量。 
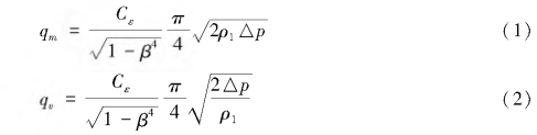
3.1流量计算 
  GB/T2624里规定的不确定度限值,质量流量差压的关系符合,因此流量公式可用以下公式确定。 

 
式中:qm-质量流量,kg/s; 
9v-体积流量,m³/s; 
C-流出系数; 
Ɛ-可膨胀系数; 
β-直径比,β=d/D; 
d-节流件开孔直径,m; 
D-管道内径,m; 
ρ1-被测流体密度,kg/m³; 
△p-压差,Pa。 
3.2节流装置开孔直径d和管道内径D计算式 
d=d20[1+λd(t-20)](3) 
D=D20[1+λd(t-20)](4) 
式中:d20-20℃下节流元件开孔直径; 
D20-20℃下管道内径; 
λd一节流材料膨胀系数; 
λD一管道材料膨胀系数。 
3.3流出系数计算式 
  C为不可压缩流体确定的表示通过装置的实际流量与理论流量之间关系的系数,对于给定安装条件下的给定一次装置,流出系数仅与雷诺数有关。由下式表示: 
 
  可膨胀系数ε取决于雷诺数值,也取决于气体的压力比和等熵指数值。 
  表示这些变化的方法是以膨胀性(膨胀)系数乘一次装置的流出系数C。流出系数利用雷诺数值相同的液体直接校准后确定。 
  当流体不可压缩时(液体),ε等于1,当流体可压缩时(气体),ε小于1。 
  事实表明ε实际上与雷诺数无关。对于给定一次装置的给定直径比,ε只取决于压力比和等熵指数,因此本法是可行的。 
当直接计算法不能解题时,需要采用迭代计算法。 
  以
成人午夜免费视频为例,始终需要迭代计算法来计算。原则是把基本.流量方程中所有--致的值重新组合在一个项内,而将未知的值组合在一项内。 
  把已知数组合在方程的一边,将未知数放在方程的另一边。 

 
(2)计算β1:由β0、k、△代入ε公式计算ε0;由β0、ReD、D代人C公式计算C0;由C0、ε0、A2代入β公式计算B0. 
(3)计算β2:由β1、k、△代入ε公式计算ε1;由β0.ReD、D代人C公式计算C1;由C1、ε1、A2代入β公式计算β2。 
相关新闻:
电磁流量计衬里磨损检测技术要点
涡轮流量计对液体清洁度的技术要求
液体涡轮流量计轴承润滑方式及应用要点
成人午夜免费视频流量计算公式及应用说明
电磁流量计衬里更换技术规程
午夜成人小视频漩涡频率与流速的换算原理及公式
成人午夜免费视频的取压方式有哪些?
午夜免费福利的探头如何安装?
电磁流量计的绝缘电阻如何测量?
成人午夜免费视频的安装直管段长度要求是多少?
江苏午夜成人APP在线观看仪表有限公司  版权所有     地址:江苏省金湖工业园区   邮编:211600
           电话:0517-86500226   86500336 传真:0517-86800636   手机:13915187193    联系人:杨经理
E-mail:jshdyb@163.com   GoogleSitemap   baidusitemap 网址:http://www.9xiw.com 
网站地图