网站首页
公司简介
产品展示
企业动态
产品报价
技术文章
在线留言
联系午夜免费福利
流量计系列
·
智能电磁流量计
·
插入式电磁流量计
·
分体式电磁流量计
·
卫生型电磁流量计
·
阿牛巴流量计
·
V锥流量计
·
午夜成人小视频
·
旋进旋涡流量计
·
成人午夜免费视频
·
涡轮流量计
·
转子流量计
·
椭圆齿轮流量计
·
平衡流量计
·
弯管流量计
·
楔形流量计
·
靶式流量计
·
节流装置
·
热式气体质量流量计
·
一体化成人午夜免费视频
·
午夜免费福利
·
气体涡轮流量计
·
金属管浮子流量计
·
温压补偿午夜成人小视频
·
一体化威力巴流量计
·
蒸汽流量计
·
阀门组
温度仪表系列
·
热电阻
·
热电偶
·
温度变送器
·
双金属温度计
压力仪表系列
·
压力变送器
·
差压变送器
·
压力真空表
·
精密压力表
·
膜盒压力表
·
隔膜压力表
·
耐震压力表
·
不锈钢压力表
·
电接点压力表
校验仪表系列
·
校验仿真仪
·
多功能校验仪
·
精密数字压力计
·
全自动校验装置
·
智能压力校验仪
·
手(电,自)动气压源
·
手(电,自)动液压源
液位仪表系列
·
密度计
·
液位变送器
·
锅炉液位计
·
磁翻板液位计
·
超声波液位计
显示,记录仪表系列
·
智能巡检仪
·
智能调节仪
·
无(有)纸记录仪
·
安全栅、隔离器
料位开关/料位计
·
料位计
·
料位开关
请输入关键字
联系午夜免费福利
江苏午夜成人APP在线观看仪表有限公司
地
址:江苏省金湖工业园区
邮
编:
211600
电
话:
0517-86500336
86500226
传
真:
0517-86800636
联系人:杨经
理
手机
:
13915187193
(微信同号)
http://www.9xiw.com
E-mail:
jshdyb@163.com
技术文章
首页
>>
技术文章
电磁流量计的数据处理方法与结果
发布日期:2022-11-30 点击:1298次
通过
电磁流量计
的电极获取的流量信号仍然参杂着很多干扰信号以及电路自身的噪声信号,经过前述差分放大、滤波、AD转换后获得的数字量中仍含有一.定的干扰。为了进一步净化信号,抑制干扰,需采用一定的数字滤波等计算方法进行处理,算法如图3所示。
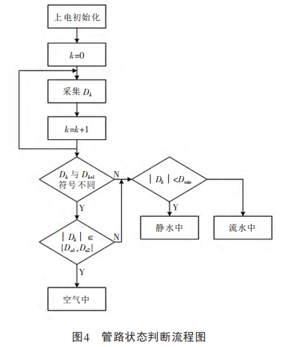
图3所示的流程为测量系统采样数据的处理过程,因此未涉及励磁、通信等功能模块。系统对采集的原始数据进行判断,区分电极处于空气、静水或流水等三种不同状态,如图4所示。
根据状态的判断结果,将静水和空气中的数据置0,并传输至
电磁流量计
液晶屏显示。若是流水状态,则进--步进行流量大小的判定,判定的依据为采样数据的大小。对于小流量数据进行小流滤波对于大流数据进行大流滤波。进行不同流量滤波的原因是针对管路中的流动噪声进行处理。小流量时对采样数据进行算术平均滤波,而大流量时要进行异常数据剔除及加权平均滤波。
相关新闻:
电磁流量计衬里磨损检测技术要点
涡轮流量计对液体清洁度的技术要求
液体涡轮流量计轴承润滑方式及应用要点
成人午夜免费视频流量计算公式及应用说明
电磁流量计衬里更换技术规程
午夜成人小视频漩涡频率与流速的换算原理及公式
成人午夜免费视频的取压方式有哪些?
午夜免费福利的探头如何安装?
电磁流量计的绝缘电阻如何测量?
成人午夜免费视频的安装直管段长度要求是多少?
江苏午夜成人APP在线观看仪表有限公司
版权所有
地址:江苏省金湖工业园区
邮编:
211600
电话:
0517-86500226 86500336
传真:
0517-86800636
手机:
13915187193
联系人:杨经理
E-mail
:
jshdyb
@163.com
GoogleSitemap
baidusitemap
网址:
http://www.9xiw.com
主营产品:
流量计
,
成人午夜免费视频
,
电磁流量计
,
V锥流量计
,
磁翻板液位计
网站地图