logo nu Map
网站首页公司简介产品展示企业动态产品报价技术文章在线留言联系午夜免费福利
江苏午夜成人APP在线观看仪表有限公司
导航菜单
流量计系列
· 智能电磁流量计
· 插入式电磁流量计
· 分体式电磁流量计
· 卫生型电磁流量计
· 阿牛巴流量计
· V锥流量计
· 午夜成人小视频
· 旋进旋涡流量计
· 成人午夜免费视频
· 涡轮流量计
· 转子流量计
· 椭圆齿轮流量计
· 平衡流量计
· 弯管流量计
· 楔形流量计
· 靶式流量计
· 节流装置
· 热式气体质量流量计
· 一体化成人午夜免费视频
· 午夜免费福利
· 气体涡轮流量计
· 金属管浮子流量计
· 温压补偿午夜成人小视频
· 一体化威力巴流量计
· 蒸汽流量计
· 阀门组
温度仪表系列
· 热电阻
· 热电偶
· 温度变送器
· 双金属温度计
压力仪表系列
· 压力变送器
· 差压变送器
· 压力真空表
· 精密压力表
· 膜盒压力表
· 隔膜压力表
· 耐震压力表
· 不锈钢压力表
· 电接点压力表
校验仪表系列
· 校验仿真仪
· 多功能校验仪
· 精密数字压力计
· 全自动校验装置
· 智能压力校验仪
· 手(电,自)动气压源
· 手(电,自)动液压源
液位仪表系列
· 密度计
· 液位变送器
· 锅炉液位计
· 磁翻板液位计
· 超声波液位计
显示,记录仪表系列
· 智能巡检仪
· 智能调节仪
· 无(有)纸记录仪
· 安全栅、隔离器
料位开关/料位计
· 料位计
· 料位开关
mulu
搜索 请输入关键字
联系午夜免费福利
江苏午夜成人APP在线观看仪表有限公司
    址:江苏省金湖工业园区
    编:211600
    话:0517-86500336      
                        86500226
    真:0517-86800636
联系人:杨经      
手机:13915187193(微信同号)
E-mail:jshdyb@163.com
 
技术文章

流量计在标准误差分析及计算公式


发布日期:2022-10-20 点击:3856次
流量计在标准规定状态下计时相对标准误差分析及计算公式 
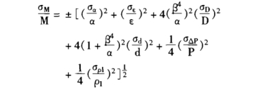
  标准节流装置测量是通过间接方式实现的,通过差压仪表测量出差压,再根据流量公式计算出流量值。这样流量测量误差不仅受差压仪表精度的影响,并且还受到公式中各量的影响。如果在煤气的计量中对标准节流装置的设计、制造、安装和使用完全按国家标准的规定进行,其相对标准误差用下式计算: 
  式中:σm一质量流量测量的标准误差; 

 
σa一糙管流量系数的标准误差; 
σe一流束膨胀系数的标准误差; 
σ△p一差压测量的标准误差; 
σp1一被测流体密度的标准误差; 
σD一管道内径的标准误差; 
σd一节流件开孔直径的标准误差。 
1.流量系数的基本相对误差 
  流量计系数α是一个影响因素复杂、变化范围较大的重要系数,当管道直径、节流件的形式和开孔直径、取压位置已定,雷诺数大于某-数值(界限累诺数)时,α值可认为是一常数,也只有在测量过程:中α保持为常数才能保证测量的精度,这也是差压式流量计能否达到准确测量的前提。由于流量系数是靠试验提供的,是由很多次测量结果整理计算而得到的,因而由于测量仪表的误差及由于计算时各量的误差累积成流量系数的误差。在不计β、D、Rep和d值的测量误差时,各标准节流装置的α0和α的基本相对误差分别按下列公式计算。 
1.1.角接取压标准孔板在节流件上游侧的管道没有管径突变,节流件的安装经检验其偏心率≤1/10x0.015D(1/β-1),环室(或夹紧环)的开孔直径与管道内径相等,在此条件下,角接取压孔板.的光管流量系数α0的基本相对误差为: 

 
2.流束膨胀系数ε的基本相对误差σε/ε. 
  流束膨胀系数,对于标准喷嘴是通过公式计算出来的,对于标准成人午夜免费视频是靠试验结果整理出来的,.因而是存在误差的。设β、△P/P1和k为已知,且不计其误差时,ε的基本相对误差规定如下: 
2.1.角接取压孔板 
2..法兰取压标准孔板 

 
σε/ε=±(△P/P1)% 
3.管道内径的基本相对误差σD/D 
  若D20为实测值时,可令σD/D=±0.1%作为估计值; 
  若D20为管径的公称直径,可令σD/D=±0.5~1.0%。 
4.节流开孔直径的基本相对误差σs/d 
  d20必须实测,可令σd/d≈±0.05%。 
5.差压测量的基本相对误差σap/AP 
  这里仅考虑差压显示仪表误差σ△p/△P的估计方法。 
σ△p/△P=1/3ζ△P/△P1 
  式中ζ为差压仪表的精度等级,△P1为预定的差压测值。在节流设计中,取△Pano 
6.煤气密度的基本相对误差σp1/ρ1 

相关新闻:
电磁流量计衬里磨损检测技术要点
涡轮流量计对液体清洁度的技术要求
液体涡轮流量计轴承润滑方式及应用要点
成人午夜免费视频流量计算公式及应用说明
电磁流量计衬里更换技术规程
午夜成人小视频漩涡频率与流速的换算原理及公式
成人午夜免费视频的取压方式有哪些?
午夜免费福利的探头如何安装?
电磁流量计的绝缘电阻如何测量?
成人午夜免费视频的安装直管段长度要求是多少?
江苏午夜成人APP在线观看仪表有限公司  版权所有     地址:江苏省金湖工业园区   邮编:211600
           电话:0517-86500226   86500336 传真:0517-86800636   手机:13915187193    联系人:杨经理
E-mail:jshdyb@163.com   GoogleSitemap   baidusitemap 网址:http://www.9xiw.com 
网站地图