logo nu Map
网站首页公司简介产品展示企业动态产品报价技术文章在线留言联系午夜免费福利
江苏午夜成人APP在线观看仪表有限公司
导航菜单
流量计系列
· 智能电磁流量计
· 插入式电磁流量计
· 分体式电磁流量计
· 卫生型电磁流量计
· 阿牛巴流量计
· V锥流量计
· 午夜成人小视频
· 旋进旋涡流量计
· 成人午夜免费视频
· 涡轮流量计
· 转子流量计
· 椭圆齿轮流量计
· 平衡流量计
· 弯管流量计
· 楔形流量计
· 靶式流量计
· 节流装置
· 热式气体质量流量计
· 一体化成人午夜免费视频
· 午夜免费福利
· 气体涡轮流量计
· 金属管浮子流量计
· 温压补偿午夜成人小视频
· 一体化威力巴流量计
· 蒸汽流量计
· 阀门组
温度仪表系列
· 热电阻
· 热电偶
· 温度变送器
· 双金属温度计
压力仪表系列
· 压力变送器
· 差压变送器
· 压力真空表
· 精密压力表
· 膜盒压力表
· 隔膜压力表
· 耐震压力表
· 不锈钢压力表
· 电接点压力表
校验仪表系列
· 校验仿真仪
· 多功能校验仪
· 精密数字压力计
· 全自动校验装置
· 智能压力校验仪
· 手(电,自)动气压源
· 手(电,自)动液压源
液位仪表系列
· 密度计
· 液位变送器
· 锅炉液位计
· 磁翻板液位计
· 超声波液位计
显示,记录仪表系列
· 智能巡检仪
· 智能调节仪
· 无(有)纸记录仪
· 安全栅、隔离器
料位开关/料位计
· 料位计
· 料位开关
mulu
搜索 请输入关键字
联系午夜免费福利
江苏午夜成人APP在线观看仪表有限公司
    址:江苏省金湖工业园区
    编:211600
    话:0517-86500336      
                        86500226
    真:0517-86800636
联系人:杨经      
手机:13915187193(微信同号)
E-mail:jshdyb@163.com
 
技术文章

多磁场电磁流量计磁场的解析式推导


发布日期:2022-10-10 点击:1575次
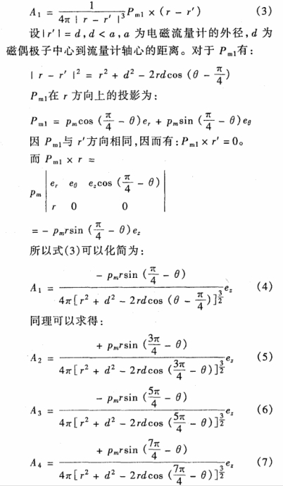
  电磁流量计磁场由四个线圈构成,对于实际的线圈结构计算磁感应强度B的解析式是困难的。在电磁流量计的假设下,可以合理地将产生交变磁场的四个线圈等效为图1所示的四个磁偶极子,位于垂直于传感器轴向的平面上。根据柱对称的假设,四个磁偶极子的磁感应强度分布可以认为是在垂直于轴向的平面上的分布。 
 
  在柱坐标系下求解四个磁偶极子在平面上的矢量磁位A的分布。在该平面上,任意一点的矢量磁位应该为四个磁偶极子产生的矢量磁位叠加,即 
A=A1+A2+Ag+A4(1) 
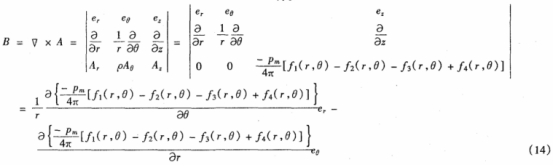
任意一点的磁感应强度B由下式求得: 
B=▽xA(2) 
  如图1所示,四个磁偶极子Pm1,Pm2,Pm3,Pm4的位置在极坐标下分别表示为四个磁偶极子的极矩数值相等,其值为4Pm=μIS,μ为线圈的磁导率,I为电流强度,s为线圈回路的面积。Pm1和Pm3指向径向,Pm2和Pm4指向与径向相反。 
  磁偶极矩Pm1在空间任意位置产生的矢量磁位[4]A为: 
 
  把式(4)、(5).(6).(7)带人式(1)可以得到矢量磁位A的表达式: 
 
  由式(13)可知:矢量磁位A沿柱坐标系的Z方向,是变量r,θ的函数。磁感应强度B由式(14)求得。 
 
  把式(14)进一步化简求得磁感应强度B的表达式,式(15)即为
电磁流量计的磁场解析式。 
相关新闻:
电磁流量计衬里磨损检测技术要点
涡轮流量计对液体清洁度的技术要求
液体涡轮流量计轴承润滑方式及应用要点
成人午夜免费视频流量计算公式及应用说明
电磁流量计衬里更换技术规程
午夜成人小视频漩涡频率与流速的换算原理及公式
成人午夜免费视频的取压方式有哪些?
午夜免费福利的探头如何安装?
电磁流量计的绝缘电阻如何测量?
成人午夜免费视频的安装直管段长度要求是多少?
江苏午夜成人APP在线观看仪表有限公司  版权所有     地址:江苏省金湖工业园区   邮编:211600
           电话:0517-86500226   86500336 传真:0517-86800636   手机:13915187193    联系人:杨经理
E-mail:jshdyb@163.com   GoogleSitemap   baidusitemap 网址:http://www.9xiw.com 
网站地图