logo nu Map
网站首页公司简介产品展示企业动态产品报价技术文章在线留言联系午夜免费福利
江苏午夜成人APP在线观看仪表有限公司
导航菜单
流量计系列
· 智能电磁流量计
· 插入式电磁流量计
· 分体式电磁流量计
· 卫生型电磁流量计
· 阿牛巴流量计
· V锥流量计
· 午夜成人小视频
· 旋进旋涡流量计
· 成人午夜免费视频
· 涡轮流量计
· 转子流量计
· 椭圆齿轮流量计
· 平衡流量计
· 弯管流量计
· 楔形流量计
· 靶式流量计
· 节流装置
· 热式气体质量流量计
· 一体化成人午夜免费视频
· 午夜免费福利
· 气体涡轮流量计
· 金属管浮子流量计
· 温压补偿午夜成人小视频
· 一体化威力巴流量计
· 蒸汽流量计
· 阀门组
温度仪表系列
· 热电阻
· 热电偶
· 温度变送器
· 双金属温度计
压力仪表系列
· 压力变送器
· 差压变送器
· 压力真空表
· 精密压力表
· 膜盒压力表
· 隔膜压力表
· 耐震压力表
· 不锈钢压力表
· 电接点压力表
校验仪表系列
· 校验仿真仪
· 多功能校验仪
· 精密数字压力计
· 全自动校验装置
· 智能压力校验仪
· 手(电,自)动气压源
· 手(电,自)动液压源
液位仪表系列
· 密度计
· 液位变送器
· 锅炉液位计
· 磁翻板液位计
· 超声波液位计
显示,记录仪表系列
· 智能巡检仪
· 智能调节仪
· 无(有)纸记录仪
· 安全栅、隔离器
料位开关/料位计
· 料位计
· 料位开关
mulu
搜索 请输入关键字
联系午夜免费福利
江苏午夜成人APP在线观看仪表有限公司
    址:江苏省金湖工业园区
    编:211600
    话:0517-86500336      
                        86500226
    真:0517-86800636
联系人:杨经      
手机:13915187193(微信同号)
E-mail:jshdyb@163.com
 
技术文章

混合气体组分变化对热式气体质量流量测量误差的计算分析


发布日期:2022-09-14 点击:1474次
  热式气体质量流量计的测量结果依赖于被测气体的物性参数一一动力粘度μ、导热系数入、定压比热容Cp,而不同气体的物性参数具有显著差异,表1中列举了几种气体在常压、20℃条件下的物性参数。 
 
  对于单一气体而言,直接采用其物性参数即可,不会对热式流量测量带来影响,但是对于混合气体而言,当气体的组分产生变化时,必然会对质量流量的测量产生误差,即: 
  混合气体的组分变化或者组分设定不准确会造成混合气体的动力粘度μ导热系数λ、定压比热容C,产生误差,进而会影响物性参数Pm,产生Pm的误差,最终根据式(6)会对质量流量产生误差。 
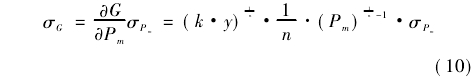
  首先分析物性参数Pm的误差对质量流量G误差影响。质量流量误差σG根据式(6),结合函数误差传递理论计算得出: 
 
  结合式(9),进一步利用函数合成标准不确定度理论可以求得Pm的误差与各物性参数误差的关系。 
 
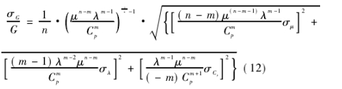
  式中:σμ、σλ、σc、分别表示动力粘度、导热系数、定压比热容的不确定度,在这里也就是误差。 
  最后,联立式(10)、(11)可以计算出混合气体物性参数误差对
热式气体质量流量计误差的影响。 
 
  式(12)中的σG/G可以表示出物性参数误差对质量流量的影响
相关新闻:
电磁流量计衬里磨损检测技术要点
涡轮流量计对液体清洁度的技术要求
液体涡轮流量计轴承润滑方式及应用要点
成人午夜免费视频流量计算公式及应用说明
电磁流量计衬里更换技术规程
午夜成人小视频漩涡频率与流速的换算原理及公式
成人午夜免费视频的取压方式有哪些?
午夜免费福利的探头如何安装?
电磁流量计的绝缘电阻如何测量?
成人午夜免费视频的安装直管段长度要求是多少?
江苏午夜成人APP在线观看仪表有限公司  版权所有     地址:江苏省金湖工业园区   邮编:211600
           电话:0517-86500226   86500336 传真:0517-86800636   手机:13915187193    联系人:杨经理
E-mail:jshdyb@163.com   GoogleSitemap   baidusitemap 网址:http://www.9xiw.com 
网站地图