logo nu Map
网站首页公司简介产品展示企业动态产品报价技术文章在线留言联系午夜免费福利
江苏午夜成人APP在线观看仪表有限公司
导航菜单
流量计系列
· 智能电磁流量计
· 插入式电磁流量计
· 分体式电磁流量计
· 卫生型电磁流量计
· 阿牛巴流量计
· V锥流量计
· 午夜成人小视频
· 旋进旋涡流量计
· 成人午夜免费视频
· 涡轮流量计
· 转子流量计
· 椭圆齿轮流量计
· 平衡流量计
· 弯管流量计
· 楔形流量计
· 靶式流量计
· 节流装置
· 热式气体质量流量计
· 一体化成人午夜免费视频
· 午夜免费福利
· 气体涡轮流量计
· 金属管浮子流量计
· 温压补偿午夜成人小视频
· 一体化威力巴流量计
· 蒸汽流量计
· 阀门组
温度仪表系列
· 热电阻
· 热电偶
· 温度变送器
· 双金属温度计
压力仪表系列
· 压力变送器
· 差压变送器
· 压力真空表
· 精密压力表
· 膜盒压力表
· 隔膜压力表
· 耐震压力表
· 不锈钢压力表
· 电接点压力表
校验仪表系列
· 校验仿真仪
· 多功能校验仪
· 精密数字压力计
· 全自动校验装置
· 智能压力校验仪
· 手(电,自)动气压源
· 手(电,自)动液压源
液位仪表系列
· 密度计
· 液位变送器
· 锅炉液位计
· 磁翻板液位计
· 超声波液位计
显示,记录仪表系列
· 智能巡检仪
· 智能调节仪
· 无(有)纸记录仪
· 安全栅、隔离器
料位开关/料位计
· 料位计
· 料位开关
mulu
搜索 请输入关键字
联系午夜免费福利
江苏午夜成人APP在线观看仪表有限公司
    址:江苏省金湖工业园区
    编:211600
    话:0517-86500336      
                        86500226
    真:0517-86800636
联系人:杨经      
手机:13915187193(微信同号)
E-mail:jshdyb@163.com
 
技术文章

午夜免费福利的测量不确定度分析


发布日期:2022-04-25 点击:1988次
  通过对午夜免费福利测量不确定度进行分析,可以估算测量系统的误差,进而对流量测量仪器进行性能评估。从时差法超声流量计测量原理可以看出,流量测量值是长度和时间的导出量,更有利于超声流量计测量不准确度的分析。由式(2-3)、(2-4)和式(2-6)可以得到单声道超声流量计测量流量Q为

对式(2-23)进行微分,可以得到流体流量测量的相对不确定度为

式(2-24)中各参量之间相互独立,因此对各参量不确定度进行平方相加,可以得到测量系统的相对不确定度平方和为

式中
EQ —流量的相对不确定度;
ED —管道内径的相对不确定度;
EK —流量修正系数的相对不确定度;
EL —信号传播距离的相对不确定度;
Ed —传感器安装距离的相对不确定度;
EtAB —信号顺流传播时间相对不确定度;
EtBA —信号逆流传播时间相对不确定度
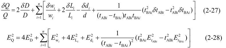
由式(2-7)可以得到多声道超声流量计测量流量Q为

因此,可得到多声道超声流量计计量的相对不确定度平方和

式中Ewi —权重系数的相对不确定度由上述分析可以看出午夜免费福利的测量不确定度按类别可以分为流场因素即流速分布校正系数或声道权重系数等、计量管段几何参数因素、信号传播时间因素等方面,对超声流量计测量误差分析、性能评价和标定具有重要的指导意义。
相关新闻:
电磁流量计衬里磨损检测技术要点
涡轮流量计对液体清洁度的技术要求
液体涡轮流量计轴承润滑方式及应用要点
成人午夜免费视频流量计算公式及应用说明
电磁流量计衬里更换技术规程
午夜成人小视频漩涡频率与流速的换算原理及公式
成人午夜免费视频的取压方式有哪些?
午夜免费福利的探头如何安装?
电磁流量计的绝缘电阻如何测量?
成人午夜免费视频的安装直管段长度要求是多少?
江苏午夜成人APP在线观看仪表有限公司  版权所有     地址:江苏省金湖工业园区   邮编:211600
           电话:0517-86500226   86500336 传真:0517-86800636   手机:13915187193    联系人:杨经理
E-mail:jshdyb@163.com   GoogleSitemap   baidusitemap 网址:http://www.9xiw.com 
网站地图