网站首页
公司简介
产品展示
企业动态
产品报价
技术文章
在线留言
联系午夜免费福利
流量计系列
·
智能电磁流量计
·
插入式电磁流量计
·
分体式电磁流量计
·
卫生型电磁流量计
·
阿牛巴流量计
·
V锥流量计
·
午夜成人小视频
·
旋进旋涡流量计
·
成人午夜免费视频
·
涡轮流量计
·
转子流量计
·
椭圆齿轮流量计
·
平衡流量计
·
弯管流量计
·
楔形流量计
·
靶式流量计
·
节流装置
·
热式气体质量流量计
·
一体化成人午夜免费视频
·
午夜免费福利
·
气体涡轮流量计
·
金属管浮子流量计
·
温压补偿午夜成人小视频
·
一体化威力巴流量计
·
蒸汽流量计
·
阀门组
温度仪表系列
·
热电阻
·
热电偶
·
温度变送器
·
双金属温度计
压力仪表系列
·
压力变送器
·
差压变送器
·
压力真空表
·
精密压力表
·
膜盒压力表
·
隔膜压力表
·
耐震压力表
·
不锈钢压力表
·
电接点压力表
校验仪表系列
·
校验仿真仪
·
多功能校验仪
·
精密数字压力计
·
全自动校验装置
·
智能压力校验仪
·
手(电,自)动气压源
·
手(电,自)动液压源
液位仪表系列
·
密度计
·
液位变送器
·
锅炉液位计
·
磁翻板液位计
·
超声波液位计
显示,记录仪表系列
·
智能巡检仪
·
智能调节仪
·
无(有)纸记录仪
·
安全栅、隔离器
料位开关/料位计
·
料位计
·
料位开关
请输入关键字
联系午夜免费福利
江苏午夜成人APP在线观看仪表有限公司
地
址:江苏省金湖工业园区
邮
编:
211600
电
话:
0517-86500336
86500226
传
真:
0517-86800636
联系人:杨经
理
手机
:
13915187193
(微信同号)
http://www.9xiw.com
E-mail:
jshdyb@163.com
技术文章
首页
>>
技术文章
金属管浮子流量计流量信号采集单元是如何设计
发布日期:2022-04-11 点击:1559次
由
金属管浮子流量计
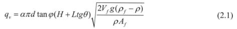
的工作原理午夜免费福利知道:流体的流量与浮子在锥管中的高度有关,因此要实现对流量的测量,实际上取决于对浮子位置的测量。
本设计中采用美国公司生产的非接触式角位移磁阻传感器HMC1501代替传统的接触式角度传感器,HMC1501可以测量从磁铁发出的磁场的方向角。
设计中将一条形磁铁置于磁阻传感器上方,令磁阻传感器与锥管间距离为L,传感器距锥管底部高度为H,如图2.3所示。
当浮子位于高度H处时,小磁铁的转角为0。当流量变化时,浮子上下移动,其内嵌磁钢也随之上下移动,此时,置于磁阻传感器正上方的条形磁铁受到磁场作用发生转动,如图2.4,转动的角度即与浮子位置有关。
由上图可见当磁铁转过角度为θ时,
金属管浮子流量计
浮子在锥管中的位置h=H+Ltgθ,则根据式1.9可得:
相关新闻:
电磁流量计衬里磨损检测技术要点
涡轮流量计对液体清洁度的技术要求
液体涡轮流量计轴承润滑方式及应用要点
成人午夜免费视频流量计算公式及应用说明
电磁流量计衬里更换技术规程
午夜成人小视频漩涡频率与流速的换算原理及公式
成人午夜免费视频的取压方式有哪些?
午夜免费福利的探头如何安装?
电磁流量计的绝缘电阻如何测量?
成人午夜免费视频的安装直管段长度要求是多少?
江苏午夜成人APP在线观看仪表有限公司
版权所有
地址:江苏省金湖工业园区
邮编:
211600
电话:
0517-86500226 86500336
传真:
0517-86800636
手机:
13915187193
联系人:杨经理
E-mail
:
jshdyb
@163.com
GoogleSitemap
baidusitemap
网址:
http://www.9xiw.com
主营产品:
流量计
,
成人午夜免费视频
,
电磁流量计
,
V锥流量计
,
磁翻板液位计
网站地图