网站首页
公司简介
产品展示
企业动态
产品报价
技术文章
在线留言
联系午夜免费福利
流量计系列
·
智能电磁流量计
·
插入式电磁流量计
·
分体式电磁流量计
·
卫生型电磁流量计
·
阿牛巴流量计
·
V锥流量计
·
午夜成人小视频
·
旋进旋涡流量计
·
成人午夜免费视频
·
涡轮流量计
·
转子流量计
·
椭圆齿轮流量计
·
平衡流量计
·
弯管流量计
·
楔形流量计
·
靶式流量计
·
节流装置
·
热式气体质量流量计
·
一体化成人午夜免费视频
·
午夜免费福利
·
气体涡轮流量计
·
金属管浮子流量计
·
温压补偿午夜成人小视频
·
一体化威力巴流量计
·
蒸汽流量计
·
阀门组
温度仪表系列
·
热电阻
·
热电偶
·
温度变送器
·
双金属温度计
压力仪表系列
·
压力变送器
·
差压变送器
·
压力真空表
·
精密压力表
·
膜盒压力表
·
隔膜压力表
·
耐震压力表
·
不锈钢压力表
·
电接点压力表
校验仪表系列
·
校验仿真仪
·
多功能校验仪
·
精密数字压力计
·
全自动校验装置
·
智能压力校验仪
·
手(电,自)动气压源
·
手(电,自)动液压源
液位仪表系列
·
密度计
·
液位变送器
·
锅炉液位计
·
磁翻板液位计
·
超声波液位计
显示,记录仪表系列
·
智能巡检仪
·
智能调节仪
·
无(有)纸记录仪
·
安全栅、隔离器
料位开关/料位计
·
料位计
·
料位开关
请输入关键字
联系午夜免费福利
江苏午夜成人APP在线观看仪表有限公司
地
址:江苏省金湖工业园区
邮
编:
211600
电
话:
0517-86500336
86500226
传
真:
0517-86800636
联系人:杨经
理
手机
:
13915187193
(微信同号)
http://www.9xiw.com
E-mail:
jshdyb@163.com
技术文章
首页
>>
技术文章
电磁流量计如何测量流过管道中导电流体
发布日期:2021-11-04 点击:1807次
利用电磁感应原理,
电磁流量计
一般被用来测量流过管道中导电流体的流量。不管流体的性质如何,只要其具有微弱的导电性(电导率大于8X10-5Ss/m)即可进行测量。通常,油田三采注入的聚合物混合液的导电性能良好,符合这种测量条件。
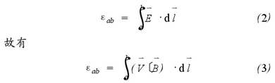
如图1所示,根据电磁感应原理,当导电流体,在磁场强度为B的磁场中以速度V运动时,切割磁力线而产生电场E关系为
则在线形长度为L的a和b两点之间产生感应电动势Ɛab
a、b两接收电极之间的距离L为已知常数,B为已知的磁场强度。故εab是V的单调函数,Ɛab随V变化而变化。而瞬时流量g等于流速V与导管截面积S(常数)的乘积,因此有
式中K一仪器常数,
只要通过
电磁流量计
电路测得Ɛab,即可得到对应的流量Q。
相关新闻:
电磁流量计衬里磨损检测技术要点
涡轮流量计对液体清洁度的技术要求
液体涡轮流量计轴承润滑方式及应用要点
成人午夜免费视频流量计算公式及应用说明
电磁流量计衬里更换技术规程
午夜成人小视频漩涡频率与流速的换算原理及公式
成人午夜免费视频的取压方式有哪些?
午夜免费福利的探头如何安装?
电磁流量计的绝缘电阻如何测量?
成人午夜免费视频的安装直管段长度要求是多少?
江苏午夜成人APP在线观看仪表有限公司
版权所有
地址:江苏省金湖工业园区
邮编:
211600
电话:
0517-86500226 86500336
传真:
0517-86800636
手机:
13915187193
联系人:杨经理
E-mail
:
jshdyb
@163.com
GoogleSitemap
baidusitemap
网址:
http://www.9xiw.com
主营产品:
流量计
,
成人午夜免费视频
,
电磁流量计
,
V锥流量计
,
磁翻板液位计
网站地图