logo nu Map
网站首页公司简介产品展示企业动态产品报价技术文章在线留言联系午夜免费福利
江苏午夜成人APP在线观看仪表有限公司
导航菜单
流量计系列
· 智能电磁流量计
· 插入式电磁流量计
· 分体式电磁流量计
· 卫生型电磁流量计
· 阿牛巴流量计
· V锥流量计
· 午夜成人小视频
· 旋进旋涡流量计
· 成人午夜免费视频
· 涡轮流量计
· 转子流量计
· 椭圆齿轮流量计
· 平衡流量计
· 弯管流量计
· 楔形流量计
· 靶式流量计
· 节流装置
· 热式气体质量流量计
· 一体化成人午夜免费视频
· 午夜免费福利
· 气体涡轮流量计
· 金属管浮子流量计
· 温压补偿午夜成人小视频
· 一体化威力巴流量计
· 蒸汽流量计
· 阀门组
温度仪表系列
· 热电阻
· 热电偶
· 温度变送器
· 双金属温度计
压力仪表系列
· 压力变送器
· 差压变送器
· 压力真空表
· 精密压力表
· 膜盒压力表
· 隔膜压力表
· 耐震压力表
· 不锈钢压力表
· 电接点压力表
校验仪表系列
· 校验仿真仪
· 多功能校验仪
· 精密数字压力计
· 全自动校验装置
· 智能压力校验仪
· 手(电,自)动气压源
· 手(电,自)动液压源
液位仪表系列
· 密度计
· 液位变送器
· 锅炉液位计
· 磁翻板液位计
· 超声波液位计
显示,记录仪表系列
· 智能巡检仪
· 智能调节仪
· 无(有)纸记录仪
· 安全栅、隔离器
料位开关/料位计
· 料位计
· 料位开关
mulu
搜索 请输入关键字
联系午夜免费福利
江苏午夜成人APP在线观看仪表有限公司
    址:江苏省金湖工业园区
    编:211600
    话:0517-86500336      
                        86500226
    真:0517-86800636
联系人:杨经      
手机:13915187193(微信同号)
E-mail:jshdyb@163.com
 
技术文章

HD-LZ金属管浮子流量计如何选型


发布日期:2021-10-12 点击:2032次
1、测量管、法兰、浮子的材料选择 
  针对酒精、乙醛流量测量,可采用一般防腐材料1Cr18NigTi制作测量管、法兰、浮子;针对粗醋酸、冰醋酸的流量测量,由于其腐蚀性强,则测量管内部接触被测介质的所有部位和浮子均要衬聚四氟乙烯材料,测量管、法兰采用1Cr18NigTi材料。 
2.
金属管浮子流量计和口径的计算与选择(针对液体流量测量)
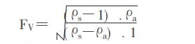
 (1)当工艺专业提出液体体积流量Qva,午夜免费福利用下式计算系数FV:
 
其中:ρs是所选择浮子材料的密度(g/cm3);1Cr18NigTi浮子ρs=7.8(g/cm3);PTFE浮子ρs=3.4(g/cm3);ρs是被测量介质的密度(g/cm3)。 
(2)根据以上计算得到的系数FV,午夜免费福利可以得到对于液体用水标校时的流量QV(水):QV(水)=FV·Qva
(3)根据生产厂家提供的流量表可选择出QV(水)所对应的金属管浮子流量计的口径、浮子号。
(4)按此浮子号的量程值除以系数FV得出介质的流量范围QN,刻度可在0.9QN至1.1QN选择。 
(5)举例说明。原始技术数据见表1,计算结果及选择见表2。
 
3.现场显示及远传的选择 
  现场显示选用M7,指示实际状态下流体的瞬时流量值/小时。 
  远传型式可选用Es-电远传输出4~20mA,亦可选用EX-本安防爆远传输出4~20mA。
4.显示仪表选择 
  选择流量积算仪,它具有瞬时流量显示和比例累积流量积算功能。 
相关新闻:
电磁流量计衬里磨损检测技术要点
涡轮流量计对液体清洁度的技术要求
液体涡轮流量计轴承润滑方式及应用要点
成人午夜免费视频流量计算公式及应用说明
电磁流量计衬里更换技术规程
午夜成人小视频漩涡频率与流速的换算原理及公式
成人午夜免费视频的取压方式有哪些?
午夜免费福利的探头如何安装?
电磁流量计的绝缘电阻如何测量?
成人午夜免费视频的安装直管段长度要求是多少?
江苏午夜成人APP在线观看仪表有限公司  版权所有     地址:江苏省金湖工业园区   邮编:211600
           电话:0517-86500226   86500336 传真:0517-86800636   手机:13915187193    联系人:杨经理
E-mail:jshdyb@163.com   GoogleSitemap   baidusitemap 网址:http://www.9xiw.com 
网站地图