时差法午夜免费福利是以超声波在流体内顺逆两个传播方向,利用传播时间差与流体流速之间的关系求得流体流量的,工作原理如图1所示。
根据声波在顺逆两个方向传播的时间差可得到该传播方向.上的流体线平均流速(V):
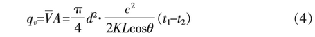
式中::C一声速;L一声波传播距离;0一声道夹角;t1、t2--声波顺逆向传播时间。
根据比尔盖儿法计算出面流速V:
式中:K--补偿系数(K=1.119+0.011lgRe;Re为雷诺数),在--定雷诺数范围内可视为常数,在使用中可以通过水流量标准装置标定给出。
根据_上述公式,可得流量计算公式为
式中:d-管道直径。
从式(4)中可以看到,h以和午夜免费福利所使用的时基准确度相关,作为用于量值传递的标准表,流量计可选取较高准确度等级的时基,因此,t1、t2测量引入的不确定度可以忽略不计。如果采取相应的措施保证d和L的测量不确定度足够小,直至可以忽略不计,则流量测量的不确定度仅和K的标定准确度相关。
外夹式午夜免费福利特征尺寸的确定
为保证d和L的测量准确度足够高,应在被检电磁流量计的管路上预装标准管段以安装外夹式午夜免费福利。由于标准管段是一个经过加工的直管段,因此,不会增加太大的成本。
标准管段内径的加工可参照GB/T2624--2006《用安装在圆形截面管道中的差压装置测量满管流体流量》中对节流件上游2D范围内管道内径的加工要求。加工后的标准管段应分别在至少3个截面的4个不同方向进行d值测量,加工偏差应小于标准规定。
声波传播距离L的确定主要是避免每次测量管道圆度不够、外壁腐蚀以及换能器和管道间装夹间隙不同,对传播距离L的影响。可在标准管段外壁加工固定的安装位置并设加装螺孔,在加装换能器时用扭力扳手紧固,确保每次装夹间隙的一致性。
在标准管段和外夹式午夜免费福利-起在水流量标准装置.上检定后,将标准管段预装在现场管道,并在换能器安装位置加装防护罩。由于标准管段结构、加工要求和使用环境与文丘里管有极度的相似性,因此,其使用周期可以采用和文丘里管相等的检定周期,即检定周期为4年。每年利用标准管段和外夹式超,声流量计对在线电磁流量计进行核查,如核查结果满意则顺延电磁流量计的检定周期,否则电磁流量计和标准管段均应离线检定。每--个外夹式午夜免费福利可以和任意管径的标准直管段配合并拥有该套配置的k值及相应的准确度,通过定期的期间核查达到延长电磁流量计检定周期的目的。 |