从地层开釆出来的天然气,虽然经过分离、过滤等工艺去除了大量杂质,但是因其成分复杂,少量杂质在流经成人午夜免费视频的过程中仍会对节流元件造成腐蚀或者磨损。例如在长时间的使用工程中,孔板直角入口边缘和孔板上下游端面受到气体冲刷、压力冲击,就会导致孔板的直角入口边缘变钝、孔板上下游端面变粗糙、变形,实际流出系数也会随之发生变化,导致天然气计量产生误差。
由于测量管道中的天然气具有很高的压力(1.5MPa-5MPa),有时还含有腐蚀性气体组分,因此在流经节流孔板时对孔板直角入口处造成冲蚀和磨损,孔板片入口边缘原本是尖锐的直角棱,但随着管线中高压气流、杂质的冲刷,孔板片入口边缘逐渐变钝、不再尖锐,孔板在节流前后的流场也因此变化,差压变送器测得值随之改变,导致计量准确度下降。
按照GB/T2624-2006《用安装在圆形截面管道中的压差装置测量满管流体流量》规定:孔板上游入口边缘应为直角,孔板开口与上游端面之间的夹角为90°±0.3°,孔板上游端面与开孔面的夹角棱线应没有划痕和毛刺,孔板下游端面和喇叭口夹角棱线等处也应没有划痕和毛刺。
计量标准规定,孔板上游直角入口边缘棱线的尖锐度应满足其圆弧半径r不大于孔板孔径的万分之四。若直角入口边缘棱线磨损出的圆弧半径r超过标准要求,则此孔板片已不适合继续使用,必须更换新孔板片才能保证计量准确度。否则圆弧半径r值将越来越大,节流孔板将圆滑过渡,导致节流孔板对流过它的流体节流效果减弱,流体流速也会发生变化,引起压差的变化,相当于实际流出系数改变。
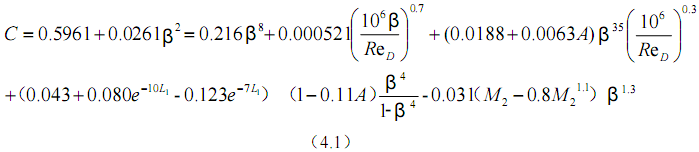
根据ISO经验公式(4.1),当管道雷诺数一定、孔板的尺寸也一定的情况下,就能够计算出流出系数的理论值。许多流量计算机使用ISO经验公式来计算流出系数(通过操作人员在流量计算机中设置的孔径、动力粘度等参数计算)。但随着成人午夜免费视频的直角入口棱线在使用中磨损,实际的流出系数就逐渐偏离了ISO经验公式计算出的理论值。
|