电磁流量计的传感器安装要能保证测量管中充满被测介质,所以在设计时,选择较为平直的一.段隧洞,在流量计两端各100m处将隧洞直径由3.6m变为3.4m,以保证隧洞内水流充满测量管,流量计传感器最好安装在测量管的中部,避免端部真空影响计量效果。安装传感器时要注意传感器上箭头的方向是指水流的方向,在安装之前需调整好流量计的方向而后进行吊装。
流量计管径为DN3400mm,长度为3400mm,重9t,采用2台10t电动葫芦进行吊装。两根电动葫芦钢丝绳平行,则每根钢丝绳承载重量4.5t。取动荷载系数为1.1,不均衡系数为1.2,则每根钢丝绳承重为4.5x1.1x1.2=5.94t,符合吊装承载力要求。
钢丝绳、卸扣的规格、型号及选型计算。
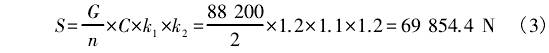
(1)钢丝绳。本工程流量计整节重量9t,即重力为88200N,用绳扣捆系吊装,所有钢丝绳采用同一型号,根据图1所示,钢丝绳b受力最大,分支数为2根,分支顶端夹角为60°。

①每一股钢丝绳受力计算公式为

式中:S为钢丝绳的容许拉力,N;G为吊物重量,N;n为钢丝绳分支数;C为角度系数,取1.2;h;为动荷系数,取1.1;k2为不均衡系数,取1.2。
②钢丝绳极限屈服拉力计算公式为

式中:d1为钢丝绳直径,mm;为抗拉强度,按1770N/mm2计。
直径采用标准规格,管道钢管吊装钢丝绳选用直径为32mm、抗拉强度为1770N/mm2的规格。其他构件吊装重量在3.0t以内,经计算吊装钢丝绳选用直径为16mm。
(2)卸扣。由式(3)可知,1个卸扣需承受的荷载P为69854.4N。卸扣销轴直径计算公式为

式中:d2为卸扣销轴直径,mm;P为卸扣承受的载荷,N。
直径采用标准规格,电磁流量计管道钢管吊装选用卸扣销轴直径为45mm。其他构件吊装重量在3.0t以内,吊装选用卸扣销轴直径不小于20mm。
|