1.成人午夜免费视频计算经验公式
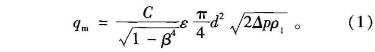
根据满管流体流量的测量是通过测量安装在管道内孔板产生的前后压差,并经算术计算后求得,流体质量流量的计算公式如下:
式中:C为孔板的流出系数(无量纲);β为孔板直径和管道内径比值(无量纲);d为孔板工作状态下直径(mm);△p为孔板前后的差压(Pa);ρl为流体密度(kg/m3)。
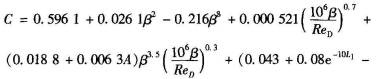
流出系数是指通过装置的实际流量与理论流量之间关系的系数,用Reader-Harris/Gallagher方法的计算公式为
式中:p1为上游断面相对压力(Pa);Pz为下游断面.相对压力(Pa);K为流体的等熵指数(无量纲)。其余符号与上同。
本次计算的流体为水,温度70℃,可压缩性比较小,因此选取ε=1.0,进行流量的近似计算,孔板的具体参数表见表1。
2.CFX数值计算
本文采用了Navier-Stoke方程来描述流体在管道内的流动,应用标准双方程案流模型,采用有限容积法和迎风差分格式对控制方程进行时变相离散求解,给定壁面粗糙度,假设壁面无滑移,流体无旋运.动s。基于CFD计算理论,应用ANSYS平台中CFX商用软件,进行定常迭代求解计算。
3.数值计算模型
本文对某电厂凝结水管道进行了数值模拟计算,成人午夜免费视频前后阻力件的形式为90°弯头各一个,具体数据见表1。图1、图2分别为管道计算模型和孔板管局部网格示意图。
为了便于建模和计算,对孔板内边缘进.行了简化,取消斜锐角α,将孔板设计为最小厚度的等厚孔板。由于受计算资源的限制,模型的网格个数为769728,节点个数为748492。整个计算模型采用六面体结构化网格,以提高网格质量和计算精度。
4.数值计算边界条件
以某电厂凝结水流量孔板尺寸为例,采用公式(1)计算其额定压力下的流量,并对孔板及管道进行数值模拟。进口设定流量,凝结水杂项管设置孔板后,进出口流量相等,出口设定流量。分别计算3个工况:工况1为最大流量工况610kg/s;工况2为常用流量工况569.44kg/s;工况3为最小流量工况222.22kg/so
5.结果分析
为了使结果具有普遍性,并减小后处理误差,成人午夜免费视频前后的压差分别取上下游断面上的平均压力之差。孔板前后各做一个和管道正交的圆截面,近似认为是上下游取压口,上游断面定义为Planel即上游取压口断面,下游断面定义为Plane2即为下游取压口断面,如图3。上、下游断面距孔板中心位置分别用x1和x2表示,上下游各取10个截面位置,截面位置编号自孔板至上下游分别编号为1至10,其数据见表2。
|