logo nu Map
网站首页公司简介产品展示企业动态产品报价技术文章在线留言联系午夜免费福利
江苏午夜成人APP在线观看仪表有限公司
导航菜单
流量计系列
· 智能电磁流量计
· 插入式电磁流量计
· 分体式电磁流量计
· 卫生型电磁流量计
· 阿牛巴流量计
· V锥流量计
· 午夜成人小视频
· 旋进旋涡流量计
· 成人午夜免费视频
· 涡轮流量计
· 转子流量计
· 椭圆齿轮流量计
· 平衡流量计
· 弯管流量计
· 楔形流量计
· 靶式流量计
· 节流装置
· 热式气体质量流量计
· 一体化成人午夜免费视频
· 午夜免费福利
· 气体涡轮流量计
· 金属管浮子流量计
· 温压补偿午夜成人小视频
· 一体化威力巴流量计
· 蒸汽流量计
· 阀门组
温度仪表系列
· 热电阻
· 热电偶
· 温度变送器
· 双金属温度计
压力仪表系列
· 压力变送器
· 差压变送器
· 压力真空表
· 精密压力表
· 膜盒压力表
· 隔膜压力表
· 耐震压力表
· 不锈钢压力表
· 电接点压力表
校验仪表系列
· 校验仿真仪
· 多功能校验仪
· 精密数字压力计
· 全自动校验装置
· 智能压力校验仪
· 手(电,自)动气压源
· 手(电,自)动液压源
液位仪表系列
· 密度计
· 液位变送器
· 锅炉液位计
· 磁翻板液位计
· 超声波液位计
显示,记录仪表系列
· 智能巡检仪
· 智能调节仪
· 无(有)纸记录仪
· 安全栅、隔离器
料位开关/料位计
· 料位计
· 料位开关
mulu
搜索 请输入关键字
联系午夜免费福利
江苏午夜成人APP在线观看仪表有限公司
    址:江苏省金湖工业园区
    编:211600
    话:0517-86500336      
                        86500226
    真:0517-86800636
联系人:杨经      
手机:13915187193(微信同号)
E-mail:jshdyb@163.com
 
技术文章

金属管浮子流量计的测量原理


发布日期:2020-09-15 点击:2200次
   金属管浮子流量汁是一种普遍的变面积型流量仪表.浮子流量计在测量过程中始终保持节流件(浮子)前后的压降不变,通过改变流通面积来改变流体体积流量的检测仪表.因其具有构造简单,工作可靠,价格低廉,对仪表前后直管段要求低等优点,被广泛用于气体、液体、蒸汽流量的测量中.

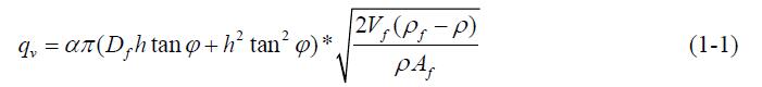
  如图1-1所示,浮子流量计管体两端通过用法兰、螺纹、软管或卡箍等与测量管道密封连接;当被测流体自下而上地流过浮子流量计时,流体将推动浮子向上运动,此时,浮子受到自身的重力G、浮子上下表面产生差压力F1以及浮子在流体中受到的浮力F2,浮子在这三个力的作用下在管体内沿管轴上下运动当浮子在流体中所受的差压力F1和浮力F2的合力小于浮子本身的重力G时,浮子将下降,使浮子和孔板间的圆环面积变小,则圆环截面处流体流速上升,从而使差压力F2变大,浮子将上升,否则,浮子将下降.直至F1与F2的合力与G相等时,浮子将稳定的悬停在管体的某一高度h处上,通过测量h即知道流体的流速qv.其计算公式如下:

  式中:α是为浮子流量计的流量系数;Df是浮子最大直径;Af是浮子迎流面积;Vf是浮子体积;ϕ为孔板的锥角;ρ是流体介质密度;ρf是浮子材料密度,ρ为流体介质密度
  一般情况下,ϕ值很小,通常在5°左右,h2tanϕ2近似为零,因此可将其忽略不计,所以体积流量为

  只要保持流量系数α为常数,流量qv与浮子高度h之间就存在近似线性的对应关系.可以将这种对应关系直接刻度在流量计的管体上,根据浮子的高度直接读出流量值,也可通过远传信号将其传送给二次仪表显示和记录.
  金属管浮子流量汁主要用于测量管径中等、流速不高的液体、气体或蒸汽介质.常用仪表口径有DN50,DN40,DN25,DN15等.浮子流量计的高度一般为250mm对上游直管段长度要求不高,量程比一般为10:1,流体流向有下进上出,左进右出,下进侧出等.
相关新闻:
电磁流量计衬里磨损检测技术要点
涡轮流量计对液体清洁度的技术要求
液体涡轮流量计轴承润滑方式及应用要点
成人午夜免费视频流量计算公式及应用说明
电磁流量计衬里更换技术规程
午夜成人小视频漩涡频率与流速的换算原理及公式
成人午夜免费视频的取压方式有哪些?
午夜免费福利的探头如何安装?
电磁流量计的绝缘电阻如何测量?
成人午夜免费视频的安装直管段长度要求是多少?
江苏午夜成人APP在线观看仪表有限公司  版权所有     地址:江苏省金湖工业园区   邮编:211600
           电话:0517-86500226   86500336 传真:0517-86800636   手机:13915187193    联系人:杨经理
E-mail:jshdyb@163.com   GoogleSitemap   baidusitemap 网址:http://www.9xiw.com 
网站地图