 |
请输入关键字 |
|
|
| 联系午夜免费福利 |
江苏午夜成人APP在线观看仪表有限公司
地 址:江苏省金湖工业园区
邮 编:211600
电 话:0517-86500336
86500226
传 真:0517-86800636
联系人:杨经理
手机:13915187193(微信同号)
E-mail:jshdyb@163.com
|
|
|
电磁流量计的基本测量运算 |
|
| 发布日期:2020-07-07 点击:2310次 |
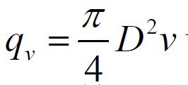
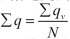
了解电磁流量计智能化转换器的原理以后,就可以对其基本测量运算需要做一个比较详尽的认识,当传感器口径一定并使用恒流源励磁时,流过传感器的平均流速可以表示为v=k1Ed-v0,k1为传感器常数,它表示平均流速为1m/s 时感应电动势的大小;V0为传感器的零点,即实际流速为零时,感应信号输出反映的流速。K1和V0由实际流量标定得到,作为传感器输出一次方程函数关系的斜率和截距,赋予被检定的传感器。由单片机把采样的感应电动势乘以K1并减去零点值V0即为实测流速值。智能转换器的基本测量是流速测量,在很大范围内有很高的流速测量线性度。见下图2.7,一方面测量的流速可以用来送显流速值,同时可供单片机按公式 计算测量流量,并且依据不同的时间单位,计算得到不同的流量单位。计算出的流量分两路,一路由单片机依据选定的基本流量单位,在一段时间内对测量的基本流量单位进行积分,按式 运算,得到一段时间内的累计流量值,送显累计总量。为稳定流量显示和信号输出,通常要对采样的信号进行低通滤波,滤去变动的高频分量,获得稳定的平均输出。另一路流量值通过单片机进行数字滤波。智能转换器很方便地使用数字滤波,不仅能够有低通滤波的功能,并能进行信号的粗大误差的处理,更可靠地进行测量。电磁流量计具有输出电流信号和频率信号的上限值可以连续可调的优点。测量的流量值相对于上限流量值,具有一定的流量百分比。利用这个流量百分比和预先设置的信号上、下限报警阀值比较,判断测量是否超限,是否提供报警信息。
其中:εd为电磁流量计传感信号;k传感器常数;v为流体流速;D公称通径;ε0为传感器零点电位;qv为流体流量;qv一阶数定滤波输出流量;S为信号周期;TD为阻尼时间;q为流量量程值;I0为电流输出上限值;F0频率输出上限值;MLM输出上限报警值;Mll为输出下限报警值。 |
 |
相关新闻: |
 |
|
|