传统测量成人午夜免费视频压力损失的方法如图2所示,分别测出P1 、P2两点之间的静压力, 所得差值即为孔板压力损失。为了使测出的压力是不可恢复性压力,P1、P2两点之间的距离应尽量远,管道直径D=300 mm,P1、P2 之间的距离为27D, 在本试验中管道直径D=100mm,P1、P2两点之间的距离为50D, 通过差压变送器直接将两点之间的差压值读出。考虑到P1、P2两点之间的距离比较长,因此管道本身的压力损失将不能忽略。对装有午夜成人小视频时总的压力损失ΔPt和管道本身的压力损失ΔPp分别在不同的流速v下进行测量, 用ΔPt减去ΔPp即为午夜成人小视频的压力损失ΔPv, 所得结果如表1所示。
压力损失系数的误差分析
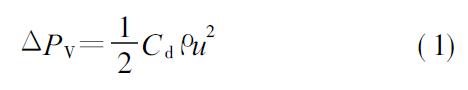
由下式计算午夜成人小视频的压力损失
式中:ΔPV 为涡街的压力损失;Cd为压力损失系数;ρ为流体密度;u为气体平均流速。
由式( 1) 可见, 压力损失系数的准确度对压力损失的计算很重要。Cd的大小一般由生产厂家给出,但即便是按照行业标准生产的同一型号的午夜成人小视频, 生产厂家给出的Cd 值差别也很大, 对于用三角柱体做旋涡发生体的午夜成人小视频,厂家给出的Cd 值一般在1.8~2.4 之间。本试验将压力损失的试验数据与不同Cd值下的计算结果进行了比较,如图3所示。从图3 中可以看出, 不同的Cd取值会使压力损失的计算值与试验值的误差随着流速的增加而增加。还可以看出, 当Cd取2.2时与计算值与试验结果吻合的比较好, 这时计算值与试验结果的误差不超过5 %。当Cd取2.4、2.0、1.8 时,与试验结果的最大误差分别达到18.78 %、17.35%、33%,压力损失系数Cd的取值对计算结果影响是较大的,在流速高时更明显
以上分析说明,仅通过午夜成人小视频压力损失的计算公式来与成人午夜免费视频的压力损失进行比较,不能保证较高的准确
|