logo nu Map
网站首页公司简介产品展示企业动态产品报价技术文章在线留言联系午夜免费福利
江苏午夜成人APP在线观看仪表有限公司
导航菜单
流量计系列
· 智能电磁流量计
· 插入式电磁流量计
· 分体式电磁流量计
· 卫生型电磁流量计
· 阿牛巴流量计
· V锥流量计
· 午夜成人小视频
· 旋进旋涡流量计
· 成人午夜免费视频
· 涡轮流量计
· 转子流量计
· 椭圆齿轮流量计
· 平衡流量计
· 弯管流量计
· 楔形流量计
· 靶式流量计
· 节流装置
· 热式气体质量流量计
· 一体化成人午夜免费视频
· 午夜免费福利
· 气体涡轮流量计
· 金属管浮子流量计
· 温压补偿午夜成人小视频
· 一体化威力巴流量计
· 蒸汽流量计
· 阀门组
温度仪表系列
· 热电阻
· 热电偶
· 温度变送器
· 双金属温度计
压力仪表系列
· 压力变送器
· 差压变送器
· 压力真空表
· 精密压力表
· 膜盒压力表
· 隔膜压力表
· 耐震压力表
· 不锈钢压力表
· 电接点压力表
校验仪表系列
· 校验仿真仪
· 多功能校验仪
· 精密数字压力计
· 全自动校验装置
· 智能压力校验仪
· 手(电,自)动气压源
· 手(电,自)动液压源
液位仪表系列
· 密度计
· 液位变送器
· 锅炉液位计
· 磁翻板液位计
· 超声波液位计
显示,记录仪表系列
· 智能巡检仪
· 智能调节仪
· 无(有)纸记录仪
· 安全栅、隔离器
料位开关/料位计
· 料位计
· 料位开关
mulu
搜索 请输入关键字
联系午夜免费福利
江苏午夜成人APP在线观看仪表有限公司
    址:江苏省金湖工业园区
    编:211600
    话:0517-86500336      
                        86500226
    真:0517-86800636
联系人:杨经      
手机:13915187193(微信同号)
E-mail:jshdyb@163.com
 
技术文章

时差法午夜免费福利的流量计计算公式


发布日期:2013-05-23 点击:2239次
时差法午夜免费福利的流量计计算公式
  时差法午夜免费福利(Transit Time Ultrasonic Flowmeter)其工作原理如图1所示。他是利用一对超声波换能器相向交替(或同时)收发超声波,通过观测超声波在介质中的顺溜和逆流传播时间差来间接测量流体的流速,在通过流速来计算流量的一种间接测量方法。
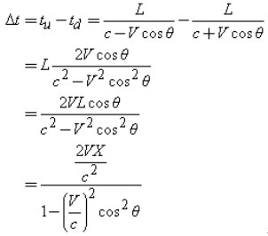
  图1中有两个超声波换能器:顺流换能器和逆流换能器,两只换能器分别安装在流体管线的两侧并相距一定距离,管线的内直径为D,超声波行走的路径长度为L,超声波顺流速度为tu,逆流速度为td,超声波的传播方向与流体的流动方向加角为θ。由于流体流动的原因,是超声波顺流传播L长度的距离所用的时间比逆流传播所用的时间短,其时间差可用下式表示:
其中:c是超声波在非流动介质中的声速,V是流体介质的流动速度,tu和td之间的差为
式中X是两个换能器在管线方向上的间距。
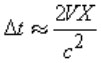
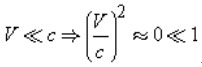
为了简化,午夜免费福利假设,流体的流速和超声波在介质中的速度相比是个小量。即:
上式可简化为:
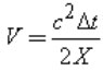
也就是流体的流速为:
由此可见,流体的流速与超声波顺流和逆流传播的时间差成正比。
流量Q可以表示为:
相关新闻:
电磁流量计衬里磨损检测技术要点
涡轮流量计对液体清洁度的技术要求
液体涡轮流量计轴承润滑方式及应用要点
成人午夜免费视频流量计算公式及应用说明
电磁流量计衬里更换技术规程
午夜成人小视频漩涡频率与流速的换算原理及公式
成人午夜免费视频的取压方式有哪些?
午夜免费福利的探头如何安装?
电磁流量计的绝缘电阻如何测量?
成人午夜免费视频的安装直管段长度要求是多少?
江苏午夜成人APP在线观看仪表有限公司  版权所有     地址:江苏省金湖工业园区   邮编:211600
           电话:0517-86500226   86500336 传真:0517-86800636   手机:13915187193    联系人:杨经理
E-mail:jshdyb@163.com   GoogleSitemap   baidusitemap 网址:http://www.9xiw.com 
网站地图